Online Database of Chemicals from Around the World

3-(3-异氰酸丙基)-1,1,1,5,5,5-六甲基-3-[(三甲基硅烷基)氧基]三硅氧烷
[CAS# 25357-82-8]

供应商
Achemica 瑞士 询价快递  
+41 (24) 466-2929
contact@achemica.com
化学品生产商(2010 年起)
Silar Laboratories 美国 询价快递  
+1 (910) 762-5800
info@silar.com
化学品生产商
基本信息
产品名称 3-(3-异氰酸丙基)-1,1,1,5,5,5-六甲基-3-[(三甲基硅烷基)氧基]三硅氧烷
英文名 3-(3-Isocyanatopropyl)-1,1,1,5,5,5-Hexamethyl-3-[(Trimethylsilyl)Oxy]Trisiloxane
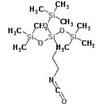
分子结构 CAS 登录号:25357-82-8, 3-(3-异氰酸丙基)-1,1,1,5,5,5-六甲基-3-[(三甲基硅烷基)氧基]三硅氧烷
分子式 C13H33NO4Si4
分子量 379.75
CAS 登录号 25357-82-8
分子行输入简码 SMILES O=C=N\CCC[Si](O[Si](C)(C)C)(O[Si](C)(C)C)O[Si](C)(C)C
国际化学标识码 InChI 1S/C13H33NO4Si4/c1-19(2,3)16-22(17-20(4,5)6,18-21(7,8)9)12-10-11-14-13-15/h10-12H2,1-9H3
国际化学标识检索码 InChIKey QRWZBOQSMUYOCM-UHFFFAOYSA-N
物理化学性质
密度 0.921g/cm3 (计算值)
沸点 320.664°C at 760 mmHg (计算值)
闪点 147.733°C (计算值)
折射率 1.424 (计算值)
市场分析报告
请浏览3-(3-异氰酸丙基)-1,1,1,5,5,5-六甲基-3-[(三甲基硅烷基)氧基]三硅氧烷市场分析报告总目录
相关产品
1-(4-氯苯基)-3-苯基-4,5-二氢-1H-...  4-(1,2,3-噻二唑-4-基)苄基氨基硫代甲亚...  N-[(2R)-4-氯-1-(十二烷基硫基)-3-...  (2S,4R,5S)-5-氨基-2-(羟基甲基)-...  (2S,4S,5S)-5-氨基-2-(羟基甲基)-...  (2E)-2-庚烯-1-基3-甲基丁酸酯  3-甲氧基-N-(甲氧基甲基)苯胺  3-氟-N-(甲氧基甲基)苯胺  2-甲基-2-己烷硫醇  3-(3-甲氧基-3-氧代丙基)-1H-吲哚-1-...  4-[(7-苯基-3-磺酸苯并[a]吩嗪-7-鎓-...  二氟(5-氧杂六环[5.4.1.0<sup>2,6...  [1,3]噻唑并[3,2-c][1,3]恶唑  二甲基(壬基)胺氧化物  1-[2-(二乙基氨基)乙基]环戊醇