基本信息
| 产品名称 |
2-(氨基甲酰氧基甲基)-2-甲基丁基乙基氨基甲酸酯 |
| 英文名 |
2-(Carbamoyloxymethyl)-2-Methylbutyl Ethylcarbamate |
| 别名 |
[2-(Carbamoyloxymethyl)-2-Methyl-Butyl] N-Ethylcarbamate; N-Ethylcarbamic Acid [2-(Carbamoyloxymethyl)-2-Methylbutyl] Ester; N-Ethylcarbamic Acid [2-(Carbamoyloxymethyl)-2-Methyl-Butyl] Ester |
|
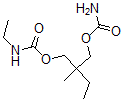
| 分子结构 |
 |
| 分子式 |
C10H20N2O4 |
| 分子量 |
232.28 |
| CAS 登录号 |
25384-68-3 |
| 分子行输入简码 SMILES |
C(C)NC(=O)OCC(C)(CC)COC(N)=O |
| 国际化学标识码 InChI |
1S/C10H20N2O4/c1-4-10(3,6-15-8(11)13)7-16-9(14)12-5-2/h4-7H2,1-3H3,(H2,11,13)(H,12,14) |
| 国际化学标识检索码 InChIKey |
SPWCVDCYIJQRPF-UHFFFAOYSA-N |
|