Online Database of Chemicals from Around the World

绿僵菌素 D
[CAS# 27482-50-4]

供应商
CAS#: 27482-50-4
产品: 绿僵菌素 D
暂时没有厂家供应该产品。
基本信息
产品名称 绿僵菌素 D
英文名 Destruxin D
别名 3-(13-Isopropyl-10,11,14-Trimethyl-2,5,9,12,15,18-Hexaoxo-16-Sec-Butyl-4-Oxa-1,8,11,14,17-Pentazabicyclo[17.3.0]Docosan-3-Yl)-2-Methyl-Propanoic Acid; 3-(13-Isopropyl-10,11,14-Trimethyl-2,5,9,12,15,18-Hexaoxo-16-Sec-Butyl-4-Oxa-1,8,11,14,17-Pentazabicyclo[17.3.0]Docosan-3-Yl)-2-Methylpropanoic Acid; 3-(13-Isopropyl-2,5,9,12,15,18-Hexaketo-10,11,14-Trimethyl-16-Sec-Butyl-4-Oxa-1,8,11,14,17-Pentazabicyclo[17.3.0]Docosan-3-Yl)-2-Methyl-Propionic Acid
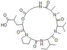
分子结构 CAS 登录号:27482-50-4, 绿僵菌素 D
分子式 C30H49N5O9
分子量 623.75
CAS 登录号 27482-50-4
分子行输入简码 SMILES C(C1C(N2C(C(NC(C(N(C(C(N(C(C(NCCC(=O)O1)=O)C)C)=O)C(C)C)C)=O)C(CC)C)=O)CCC2)=O)C(C(=O)O)C
国际化学标识码 InChI 1S/C30H49N5O9/c1-9-17(4)23-28(40)34(8)24(16(2)3)29(41)33(7)19(6)25(37)31-13-12-22(36)44-21(15-18(5)30(42)43)27(39)35-14-10-11-20(35)26(38)32-23/h16-21,23-24H,9-15H2,1-8H3,(H,31,37)(H,32,38)(H,42,43)
国际化学标识检索码 InChIKey WTVZRLMVNARECX-UHFFFAOYSA-N
物理化学性质
密度 1.245g/cm3 (计算值)
沸点 952.969°C at 760 mmHg (计算值)
闪点 530.137°C (计算值)
市场分析报告
请浏览绿僵菌素 D市场分析报告总目录
相关产品
[1,2,4]三唑并[4,3-a]吡嗪  (5R,6S,9R,13S,14R)-9alpha...  4-氰基-4-(3,4-二甲氧基苯基)-5-甲基己...  5-氯-2-(3,4-二甲氧基苯基)-2-异丙基戊...  2-甲基-2-(三甲基硅烷基)-2-硅杂茚满  2,3-二氢-2,2-二甲基-1H-2-苯并锗杂环...  氯二甲基异丁基硅烷  加锡弥罗果碱  (1Z)-1-[(5-氯-2-羟基-4-硝基苯基)...  (E)-2-丁烯二酸与 1,2-乙二醇聚合物  苯基甲氧基甲氧基甲基苯  1-甲基-4-丙-1-炔基苯  3,3',4',5,7-五羟基-8-甲氧基黄酮  4-(氯甲基)-3-甲氧基-9H-氧杂蒽-9-酮  1,4-二壬基磺酸基琥珀酸酯铵盐