Online Database of Chemicals from Around the World

Isoline
[CAS# 30000-36-3]

供应商
CAS#: 30000-36-3
产品: Isoline
暂时没有厂家供应该产品。
基本信息
产品名称 Isoline
英文名 Isoline
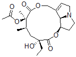
分子结构 CAS 登录号:30000-36-3, Isoline
分子式 C20H29NO7
分子量 395.45
CAS 登录号 30000-36-3
分子行输入简码 SMILES [C@@]3(C(OCC1=CCN2[C@H]1[C@@H](CC2)OC([C@@](C[C@H]3C)(O)CC)=O)=O)(OC(=O)C)C
国际化学标识码 InChI 1S/C20H29NO7/c1-5-20(25)10-12(2)19(4,28-13(3)22)17(23)26-11-14-6-8-21-9-7-15(16(14)21)27-18(20)24/h6,12,15-16,25H,5,7-11H2,1-4H3/t12-,15-,16-,19+,20-/m1/s1
国际化学标识检索码 InChIKey IYLGZMTXKJYONK-ACLXAEORSA-N
物理化学性质
密度 1.277g/cm3 (计算值)
沸点 584.137°C at 760 mmHg (计算值)
闪点 307.075°C (计算值)
市场分析报告
请浏览Isoline市场分析报告总目录
相关产品
6-甲硫基-3H-嘧啶-4-酮  二钠2-氧代丁二酸酯  普利霉素硫酸盐  1-甲基-2,3,4,9-四氢-1H-吡啶并[3,...  [(8R,9S,10R,13S,14S,17R)-...  红霉素L-天冬氨酸  2,3-二(4-甲氧基苯基)-5-甲基-1H-吡咯  N,N-二甲基-3-苯基丙-2-炔-1-胺盐酸盐  8-[(3R,4S,5R)-3,4-二羟基-5-(...  6-氨基-9-[3,4-二羟基-5-(羟基甲基)四...  4,5-二羟基-1,3-二(甲氧基甲基)咪唑烷-2...  (3-氯-2-羟基丙基)-二甲基-十八烷基铵氯化物  2-巯基丙-1-醇  2-(1-羟基丙-2-基硫基)丙-1-醇  3,9-二甲基-2,4,8,10-四氧杂-3,9-...