Online Database of Chemicals from Around the World

3-(4-甲基-1-哌嗪基)丙基2,2-二甲基戊酸酯
[CAS# 32041-69-3]

供应商
Achemica 瑞士 询价快递  
+41 (24) 466-2929
contact@achemica.com
化学品生产商(2010 年起)
基本信息
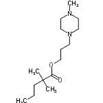
产品名称 3-(4-甲基-1-哌嗪基)丙基2,2-二甲基戊酸酯
英文名 3-(4-Methyl-1-Piperazinyl)Propyl 2,2-Dimethylpentanoate
分子结构 CAS 登录号:32041-69-3, 3-(4-甲基-1-哌嗪基)丙基2,2-二甲基戊酸酯
分子式 C15H30N2O2
分子量 270.41
CAS 登录号 32041-69-3
分子行输入简码 SMILES O=C(OCCCN1CCN(CC1)C)C(C)(C)CCC
国际化学标识码 InChI 1S/C15H30N2O2/c1-5-7-15(2,3)14(18)19-13-6-8-17-11-9-16(4)10-12-17/h5-13H2,1-4H3
国际化学标识检索码 InChIKey GXPVODYJUKTVEI-UHFFFAOYSA-N
物理化学性质
密度 0.96g/cm3 (计算值)
沸点 349.829°C at 760 mmHg (计算值)
闪点 165.371°C (计算值)
市场分析报告
请浏览3-(4-甲基-1-哌嗪基)丙基2,2-二甲基戊酸酯市场分析报告总目录
相关产品
3-(4-甲基-1-哌嗪基)丙基特戊酸酯  4-甲基-3-氧代-4-(1H-1,2,4-三唑-...  2-吡嗪甲酰胺1-氧化物  甲基(2Z)-2-(氯甲酰基)-3-苯基丙烯酸酯  5-甲基-4-硝基-1H-苯并咪唑  5-氯-4-硝基-1H-苯并咪唑  1,1'-[(Z)-1,2-二溴-1,2-乙烯二基...  N-(3-硝基苯基)-N-苯基乙酰胺  4-羟基-3-甲氧基苯甲脒  (3S)-3-甲基-2-苯并呋喃-1(3H)-酮  2-甲基-2-丙基4-异氰酸-1-哌啶羧酸酯  (3-氧代环己基)氨基甲酸苄酯  1-(5-甲氧基-2-吡嗪基)乙酮  甲基(2S)-4-乙氧基-2-甲基-6-氧代-3,...  9,10-二氧代-9,10-二氢-2-菲羧酸