Online Database of Chemicals from Around the World

颗粒霉素R
[CAS# 33889-22-4]

供应商
CAS#: 33889-22-4
产品: 颗粒霉素R
暂时没有厂家供应该产品。
基本信息
产品名称 颗粒霉素R
英文名 Tolypomycin R
别名 Tolypomycin Y, 1,4-Didehydro-1-Deoxo-4,35-Dihydro-1-Hydroxy-; B-2847-R; L-Erythro-Hexopyranose, 2,3,4,6-Tetradeoxy-4-((5,6,11,12,13,14,15,16,16A,17,17A,18,21,22-Tetradecahydro-2,12,14,16,26-Pentahydroxy-10-Methoxy-3,6,11,13,15,20-Hexamethyl-5,18,21-Trioxo-10H-4,6-Epoxy-1,23-Methenobenzo(D)Cycloprop(N)(1,9)Oxaazacyclotetracosin-25-Yl)Amino)-, 12-Acetate
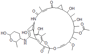
分子结构 CAS 登录号:33889-22-4, 颗粒霉素R
分子式 C43H56N2O14
分子量 824.92
CAS 登录号 33889-22-4
分子行输入简码 SMILES CC25OC1=C(C(=C3C(=C1C2=O)C(=CC(=C3O)NC(=O)C(=C\C(=O)C4C(C4)C(O)C(C(O)C(C(OC(=O)C)C(C(OC)\C=C/O5)C)C)C)/C)NC6C(OC(O)CC6)C)O)C
国际化学标识码 InChI 1S/C43H56N2O14/c1-17-14-29(47)24-15-25(24)36(50)19(3)35(49)20(4)39(58-23(7)46)18(2)30(55-9)12-13-56-43(8)41(53)34-32-27(44-26-10-11-31(48)57-22(26)6)16-28(45-42(17)54)38(52)33(32)37(51)21(5)40(34)59-43/h12-14,16,18-20,22,24-26,30-31,35-36,39,44,48-52H,10-11,15H2,1-9H3,(H,45,54)/b13-12-,17-14-
国际化学标识检索码 InChIKey RUJHPEIRGYGPOM-WVPYDLLPSA-N
物理化学性质
密度 1.395g/cm3 (计算值)
沸点 969.796°C at 760 mmHg (计算值)
闪点 540.313°C (计算值)
市场分析报告
请浏览颗粒霉素R市场分析报告总目录
相关产品
2,9-二甲基-6-丙-2-基-1,4-二氧杂螺[...  2',2'-二氯-7,7-二甲基螺[双环[3.1....  7,12-二氢-6H-喹嗪并[1,2-b]吲哚-5...  N-(2-苯基乙基)甲烷磺酰胺  6-(甲基硫基甲基)-7H-嘌呤  6-(乙基硫基甲基)-7H-嘌呤  2-(乙基-苯基氨基)乙基N-苯基氨基甲酸酯  4-氯-2-十四烷基苯酚  2-(3-十五烷基苯氧基)乙基N-[4-[[5-氧...  5,5-二乙基-1,3-二恶烷  2-丙基-1,3-二氧戊环  5-(4-甲氧基苯基)-1,2-二氢-1,2,4-...  4,6-二甲基-1,3-二恶烷  (8S,9R,10S,11S,13S,14S,17...  2-羟基-3,5,7-三(吗啉-4-基甲基)环庚并...