Online Database of Chemicals from Around the World

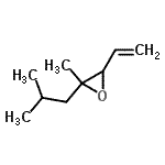
2-异丁基-2-甲基-3-乙烯基环氧乙烷
[CAS# 344247-93-4]

供应商
深圳爱拓化学有限公司 中国 询价快递  
+86 13417589054//+86 13424336463
info@atomaxchem.com,atomax.chemicals@gmail.com,
QQ 交流
化学品生产商
基本信息
产品名称 2-异丁基-2-甲基-3-乙烯基环氧乙烷
英文名 2-Isobutyl-2-Methyl-3-Vinyloxirane
别名 2-isobutyl-2-methyl-3-vinyloxirane
分子结构 CAS 登录号:344247-93-4, 2-异丁基-2-甲基-3-乙烯基环氧乙烷
分子式 C9H16O
分子量 140.22
CAS 登录号 344247-93-4
分子行输入简码 SMILES CC(C)CC1(C(O1)C=C)C
国际化学标识码 InChI 1S/C9H16O/c1-5-8-9(4,10-8)6-7(2)3/h5,7-8H,1,6H2,2-4H3
国际化学标识检索码 InChIKey UHMKXOCMDJPRTG-UHFFFAOYSA-N
物理化学性质
密度 0.907g/cm3 (计算值)
沸点 166.074°C at 760 mmHg (计算值)
闪点 46.084°C (计算值)
折射率 1.491 (计算值)
市场分析报告
请浏览2-异丁基-2-甲基-3-乙烯基环氧乙烷市场分析报告总目录
相关产品
乙基1-羟基-2-甲基环丙烷羧酸酯  5-氨基-4,6-二甲基-2(1H)-嘧啶酮  2-甲基-2-(2-甲基-2-丙基)-3-乙烯基环...  1-(2,4-二甲基-1,3-二氧戊环-4-基)乙...  2-羟基环己烷甲酰胺  (3-异丙基-2-环氧乙烷基)(三甲基)硅烷  2-(甲氧基甲基)-1-吡咯烷甲醛  3,6,7,8,9,9A-六氢-4H-吡啶并[1,...  (3,3-二甲基-2-氧代-1-氮杂环丁基)(苯基...  5-甲基-2-(甲基氨基)-4,6(1H,5H)-...  1,8-二羟基-2-甲基-9,10-蒽醌  4-硝基-3-环己烯-1-甲醛  1-(氟乙炔基)-4-甲氧基苯  N-烯丙基-3-甲氧基-2,2-二甲基环丙胺  N-乙基-1-哌啶硫代甲酰胺