Online Database of Chemicals from Around the World

4-(1,2-二羧基乙基亚基)-2,2,6,6-四甲基-1-哌啶基氧基
[CAS# 3474-22-4]

供应商
CAS#: 3474-22-4
产品: 4-(1,2-二羧基乙基亚基)-2,2,6,6-四甲基-1-哌啶基氧基
暂时没有厂家供应该产品。
基本信息
产品名称 4-(1,2-二羧基乙基亚基)-2,2,6,6-四甲基-1-哌啶基氧基
英文名 4-(1,2-Dicarboxyethylidene)-2,2,6,6-Tetramethyl-1-Piperidinyloxy
别名 2,2,6,6-Tetramethyl-1-Oxylpiperidinyl Succinic Acid
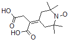
分子结构 CAS 登录号:3474-22-4, 4-(1,2-二羧基乙基亚基)-2,2,6,6-四甲基-1-哌啶基氧基
分子式 C13H20NO5
分子量 270.30
CAS 登录号 3474-22-4
分子行输入简码 SMILES [O]N1C(CC(CC1(C)C)=C(C(=O)O)CC(=O)O)(C)C
国际化学标识码 InChI 1S/C13H20NO5/c1-12(2)6-8(7-13(3,4)14(12)19)9(11(17)18)5-10(15)16/h5-7H2,1-4H3,(H,15,16)(H,17,18)
国际化学标识检索码 InChIKey JRYDKNPRIFSZJJ-UHFFFAOYSA-N
物理化学性质
沸点 488.1°C at 760 mmHg (计算值)
闪点 249°C (计算值)
市场分析报告
请浏览4-(1,2-二羧基乙基亚基)-2,2,6,6-四甲基-1-哌啶基氧基市场分析报告总目录
相关产品
4-甲氧基-2,6-二甲基苯胺  2-[[3-[N-[[4,5-二(苯基)-1,3-...  5-(乙氧基甲基)八氢-4,7-甲桥-1H-茚-5...  4-[3,5-二氧代-1,2-二(苯基)吡唑烷-4...  1-[6-(2-氧代吡咯烷-1-基)己基]吡咯烷-...  2-丙烯酸与1,1-二氯乙烯,甲基2-丙烯酸酯和2...  钠锑二甲基半胱氨酸酒石酸盐  1,1,3-三甲基-3-亚硝基脲  [[2-[3-[(4-氨基-2-甲基嘧啶-5-基)...  4-(1,2-二甲基吡啶-1-鎓-4-基)-1,2...  N-[2-[1-[4-(2,2-二氰基乙烯基)-3...  3-甲基丁氧基二硫代甲酸钠  3,5-二甲基-4-硝基苯胺  4-溴-N-丙基苯磺酰胺  [1-(4-氯苯基)-2-甲基丙烷-2-基](吡啶...