Online Database of Chemicals from Around the World

12-(2,3-二羟基-2-甲基丙基)-23-羟基-6-(1-羟基乙基)-15-(1H-吲哚-3-基甲基)-3,9,18-三甲基-1,4,7,10,13,16,19-七氮杂双环[19.3.0]二十四烷-2,5,8,11,14,17,20-七酮
[CAS# 35173-40-1]

供应商
CAS#: 35173-40-1
产品: 12-(2,3-二羟基-2-甲基丙基)-23-羟基-6-(1-羟基乙基)-15-(1H-吲哚-3-基甲基)-3,9,18-三甲基-1,4,7,10,13,16,19-七氮杂双环[19.3.0]二十四烷-2,5,8,11,14,17,20-七酮
暂时没有厂家供应该产品。
基本信息
产品名称 12-(2,3-二羟基-2-甲基丙基)-23-羟基-6-(1-羟基乙基)-15-(1H-吲哚-3-基甲基)-3,9,18-三甲基-1,4,7,10,13,16,19-七氮杂双环[19.3.0]二十四烷-2,5,8,11,14,17,20-七酮
英文名 12-(2,3-Dihydroxy-2-Methylpropyl)-23-Hydroxy-6-(1-Hydroxyethyl)-15-(1H-Indol-3-Ylmethyl)-3,9,18-Trimethyl-1,4,7,10,13,16,19-Heptazabicyclo[19.3.0]Tetracosane-2,5,8,11,14,17,20-Heptone
别名 12-(2,3-Dihydroxy-2-Methyl-Propyl)-23-Hydroxy-6-(1-Hydroxyethyl)-15-(1H-Indol-3-Ylmethyl)-3,9,18-Trimethyl-1,4,7,10,13,16,19-Heptazabicyclo[19.3.0]Tetracosane-2,5,8,11,14,17,20-Heptone; Dethiophalloidin; Phalloidin, 3-L-Alanine-6-L-Tryptophan-
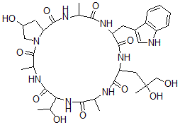
分子结构 CAS 登录号:35173-40-1, 12-(2,3-二羟基-2-甲基丙基)-23-羟基-6-(1-羟基乙基)-15-(1H-吲哚-3-基甲基)-3,9,18-三甲基-1,4,7,10,13,16,19-七氮杂双环[19.3.0]二十四烷-2,5,8,11,14,17,20-七酮
分子式 C35H50N8O11
分子量 758.83
CAS 登录号 35173-40-1
分子行输入简码 SMILES C1=C(C2=C([NH]1)C=CC=C2)CC3NC(=O)C(NC(=O)C4N(C(=O)C(NC(=O)C(NC(=O)C(NC(=O)C(NC3=O)CC(O)(CO)C)C)C(O)C)C)CC(O)C4)C
国际化学标识码 InChI 1S/C35H50N8O11/c1-16-28(47)40-24(10-20-13-36-23-9-7-6-8-22(20)23)30(49)41-25(12-35(5,54)15-44)31(50)37-17(2)29(48)42-27(19(4)45)33(52)39-18(3)34(53)43-14-21(46)11-26(43)32(51)38-16/h6-9,13,16-19,21,24-27,36,44-46,54H,10-12,14-15H2,1-5H3,(H,37,50)(H,38,51)(H,39,52)(H,40,47)(H,41,49)(H,42,48)
国际化学标识检索码 InChIKey IYJPKTWFAHJIAW-UHFFFAOYSA-N
物理化学性质
密度 1.441g/cm3 (计算值)
沸点 1319.667°C at 760 mmHg (计算值)
闪点 751.908°C (计算值)
市场分析报告
请浏览12-(2,3-二羟基-2-甲基丙基)-23-羟基-6-(1-羟基乙基)-15-(1H-吲哚-3-基甲基)-3,9,18-三甲基-1,4,7,10,13,16,19-七氮杂双环[19.3.0]二十四烷-2,5,8,11,14,17,20-七酮市场分析报告总目录
相关产品
N2',N4'-二氨基吡啶-2,4-二甲脒  (17-乙酰基-3-乙酰氧基-10,13-二甲基-...  [17-(2-乙酰氧基乙酰基)-17-羟基-10,...  (2R,3R,4R,5R)-4-[(2R,3R,4...  丙基烯氧化物单乙醇胺聚合物  间苯二甲酸,新戊二醇,乙二醇,二甲基对苯二甲酸酯聚...  二钠十八烷基磷酸盐  1-甲基-4-丙-2-亚基-7-氧杂双环[4.1....  7,8-二甲基萘并[1,2-b]喹啉  8,12-二甲基苯并[a]吖啶  4-氯-N-(3-乙基二十四烷-3-基)-1-羟基...  4,7,12-三甲基苯并[a]蒽  7,11-二甲基苯并[b]菲  (2S)-2-氨基-5-(羟基氨基)戊酸  甲基3-[(3-甲氧基-3-氧代丙基)氨基]丙酸酯