Online Database of Chemicals from Around the World

2-[(2,2-二乙氧基乙基)硫基]丙烷
[CAS# 35247-92-8]

供应商
CAS#: 35247-92-8
产品: 2-[(2,2-二乙氧基乙基)硫基]丙烷
暂时没有厂家供应该产品。
基本信息
产品名称 2-[(2,2-二乙氧基乙基)硫基]丙烷
英文名 2-[(2,2-Diethoxyethyl)Sulfanyl]Propane
别名 2-(Isopropylthio)acetaldehydediethylacetal
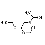
分子结构 CAS 登录号:35247-92-8, 2-[(2,2-二乙氧基乙基)硫基]丙烷
分子式 C9H20O2S
分子量 192.32
CAS 登录号 35247-92-8
分子行输入简码 SMILES CCOC(CSC(C)C)OCC
国际化学标识码 InChI 1S/C9H20O2S/c1-5-10-9(11-6-2)7-12-8(3)4/h8-9H,5-7H2,1-4H3
国际化学标识检索码 InChIKey QWZQIOJCGMZEDG-UHFFFAOYSA-N
物理化学性质
密度 0.9±0.1g/cm3 (计算值)
沸点 235.7±30.0°C at 760 mmHg (计算值)
闪点 96.4±24.6°C (计算值)
市场分析报告
请浏览2-[(2,2-二乙氧基乙基)硫基]丙烷市场分析报告总目录
相关产品
5-氟-2(1H)-嘧啶硫酮  1-(1,5-二甲基-1H-吡咯-2-基)乙酮  6-(羟基甲基)-2-吡啶醇  (4-溴苄基)(氯)锌  氯(3,5-二氟苄基)锌  [(2R,3R)-3-(溴甲基)-2-环氧乙烷基]...  (3-溴-2-甲氧基苯基)硼酸  [(E)-2-(3-吡啶基)乙烯基]硼酸  [(E)-2-(1-萘基)乙烯基]硼酸  (5-乙氧羰基-2-噻吩基)硼酸  (3-硫苯基)硼酸  6-(氯甲基)-2-甲基-4-嘧啶醇  7-氯-6-氟-1,3-苯并噻唑  5-氯-6-氟-1,3-苯并噻唑  (2-氨基-1,3-苯并噻唑-6-基)乙腈