Online Database of Chemicals from Around the World

1-(2-甲基-2-丙基)-2-乙烯基吖丁啶
[CAS# 359818-97-6]

供应商
深圳爱拓化学有限公司 中国 询价快递  
+86 13417589054//+86 13424336463
info@atomaxchem.com,atomax.chemicals@gmail.com,
QQ 交流
化学品生产商
基本信息
产品名称 1-(2-甲基-2-丙基)-2-乙烯基吖丁啶
英文名 1-(2-Methyl-2-Propanyl)-2-Vinylazetidine
别名 1-(tert-butyl)-2-vinylazetidine
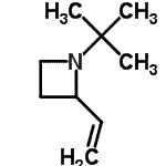
分子结构 CAS 登录号:359818-97-6, 1-(2-甲基-2-丙基)-2-乙烯基吖丁啶
分子式 C9H17N
分子量 139.24
CAS 登录号 359818-97-6
分子行输入简码 SMILES C=C\C1N(C(C)(C)C)CC1
国际化学标识码 InChI 1S/C9H17N/c1-5-8-6-7-10(8)9(2,3)4/h5,8H,1,6-7H2,2-4H3
国际化学标识检索码 InChIKey RQVAUBIPIFXQEJ-UHFFFAOYSA-N
物理化学性质
密度 0.934g/cm3 (计算值)
沸点 149.979°C at 760 mmHg (计算值)
闪点 36.767°C (计算值)
折射率 1.534 (计算值)
市场分析报告
请浏览1-(2-甲基-2-丙基)-2-乙烯基吖丁啶市场分析报告总目录
相关产品
甲基3-(3,4-二羟基苯基)丙酸酯  4-(羟基甲基)-1-甲基-2(1H)-喹啉酮  3-(2-羟基乙基)-2,5-二甲氧基-1,4-苯...  7-甲基-2,3-二氢-1-苯并呋喃-5-醇  (8aS)-6,7,8,8A-四氢-3(5H)-吲...  (3aR,9aR)-3A,9A-二羟基-3-甲基-...  (3S)-3,4,4-三羟基-3-甲基二氢-2(3...  (3R)-3,4,4-三羟基-3-甲基二氢-2(3...  (1S)-4-(羟基甲基)-1-异丙基-3-环己烯...  4-[(3-溴苄基)氨基]-1-哌啶羧酸叔丁酯  (5E)-5-(5-溴-2-羟基-3-甲氧基苄亚基...  1-异丙基-3-(甲氧基甲氧基)吖丁啶  1-羟基-1-(4-羟基苯基)-2-丙氯化铵  2-[(甲硫基)甲基]-1H-苯并咪唑  6,7-二羟基-4-(4-吗啉基甲基)-2H-苯并...