Online Database of Chemicals from Around the World

N,N-二丁基-N-乙基-1-丁铵溴化物
[CAS# 37026-89-4]

供应商
Achemica 瑞士 询价快递  
+41 (24) 466-2929
contact@achemica.com
化学品生产商(2010 年起)
基本信息
产品名称 N,N-二丁基-N-乙基-1-丁铵溴化物
英文名 N,N-Dibutyl-N-Ethyl-1-Butanaminium Bromide
别名 Ethyltributylammonium bromide; Tributylethylammonium bromide; N,N-Dibutyl-N-ethyl-1-butanaminium bromide
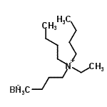
分子结构 CAS 登录号:37026-89-4, N,N-二丁基-N-乙基-1-丁铵溴化物
分子式 C14H32BrN
分子量 294.31
CAS 登录号 37026-89-4
分子行输入简码 SMILES [Br-].CCCC[N+](CC)(CCCC)CCCC
国际化学标识码 InChI 1S/C14H32N.BrH/c1-5-9-12-15(8-4,13-10-6-2)14-11-7-3;/h5-14H2,1-4H3;1H/q+1;/p-1
国际化学标识检索码 InChIKey QTNZUCWMRAIYCB-UHFFFAOYSA-M
市场分析报告
请浏览N,N-二丁基-N-乙基-1-丁铵溴化物市场分析报告总目录
相关产品
N-乙基-3-甲基-1H-吡唑-5-甲酰胺  N,N-二甲基-3-(9H-噻吨-9-基)-1-丙...  2-(双环[2.2.1]庚-2-基氨基)乙醇  3,3,4,4-四甲基-1,2-二氧杂环丁烷  2-氟-1-(4-甲基苯基)乙酮  2-氟-3-氧代-3-苯基丙烷醛  2-氟-3-(4-甲基苯基)-3-氧代丙醛  (2Z)-3-(二甲基氨基)-2-氟-1-(4-甲...  (2Z)-3-(二乙基氨基)-2-氟-1-苯基-2...  3-苯基-2-(2-噻吩基)丙烯腈  3,4-壬二烯  (6S,7S)-3-[(氨基甲酰氧基)甲基]-8-...  (2,3,5,6-四甲基苯基)乙酸  5-羟基-1H-吲哚-3-羧酸  1,4,4-三甲基-2-咪唑烷硫酮