基本信息
| 产品名称 |
2-(4-甲基-L-苯丙氨酸)-缩宫素 |
| 英文名 |
2-(4-methyl-L-phenylalanine)-Oxytocin |
| 别名 |
(2S)-1-[(4R,7S,10S,16S,19R)-19-Amino-7-(2-Amino-2-Oxo-Ethyl)-10-(3-Amino-3-Oxo-Propyl)-16-[(4-Methylphenyl)Methyl]-6,9,12,15,18-Pentaoxo-13-Sec-Butyl-1,2-Dithia-5,8,11,14,17-Pentazacycloicosane-4-Carbonyl]-N-[(1S)-1-[(2-Amino-2-Oxo-Ethyl)Carbamoyl]-3-Methyl-Butyl]Pyrrolidine-2-Carboxamide; (2S)-1-[[(4R,7S,10S,16S,19R)-19-Amino-7-(2-Amino-2-Oxoethyl)-10-(3-Amino-3-Oxopropyl)-16-[(4-Methylphenyl)Methyl]-6,9,12,15,18-Pentaoxo-13-Sec-Butyl-1,2-Dithia-5,8,11,14,17-Pentazacycloicos-4-Yl]-Oxomethyl]-N-[(1S)-1-[[(2-Amino-2-Oxoethyl)Amino]-Oxomethyl]-3-Methylbutyl]-2-Pyrrolidinecarboxamide; (2S)-1-[(4R,7S,10S,16S,19R)-19-Amino-7-(2-Amino-2-Keto-Ethyl)-10-(3-Amino-3-Keto-Propyl)-6,9,12,15,18-Pentaketo-16-(4-Methylbenzyl)-13-Sec-Butyl-1,2-Dithia-5,8,11,14,17-Pentazacycloicosane-4-Carbonyl]-N-[(1S)-1-[(2-Amino-2-Keto-Ethyl)Carbamoyl]-3-Methyl-Butyl]Pyrrolidine-2-Carboxamide |
|
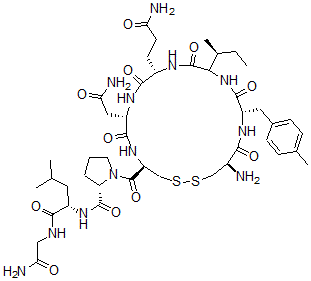
| 分子结构 |
 |
| 分子式 |
C44H68N12O11S2 |
| 分子量 |
1005.22 |
| CAS 登录号 |
3714-57-6 |
| 分子行输入简码 SMILES |
[C@@H]3(N(C(=O)[C@H]1NC(=O)[C@@H](NC(=O)[C@@H](NC(=O)C(NC(=O)[C@@H](NC(=O)[C@@H](N)CSSC1)CC2=CC=C(C=C2)C)[C@H](CC)C)CCC(=O)N)CC(=O)N)CCC3)C(=O)N[C@H](C(=O)NCC(=O)N)CC(C)C |
| 国际化学标识码 InChI |
1S/C44H68N12O11S2/c1-6-24(5)36-43(66)50-27(13-14-33(46)57)39(62)52-30(18-34(47)58)40(63)54-31(21-69-68-20-26(45)37(60)51-29(41(64)55-36)17-25-11-9-23(4)10-12-25)44(67)56-15-7-8-32(56)42(65)53-28(16-22(2)3)38(61)49-19-35(48)59/h9-12,22,24,26-32,36H,6-8,13-21,45H2,1-5H3,(H2,46,57)(H2,47,58)(H2,48,59)(H,49,61)(H,50,66)(H,51,60)(H,52,62)(H,53,65)(H,54,63)(H,55,64)/t24-,26-,27-,28-,29-,30-,31-,32-,36?/m0/s1 |
| 国际化学标识检索码 InChIKey |
PLYQQCAFJFDQET-MUPTULDRSA-N |
|