Online Database of Chemicals from Around the World

D-葡萄糖-1,2,3-13C3
[CAS# 478529-32-7]

供应商
Alfa Chemistry 美国 询价快递  
+1 (201) 478-8534
inquiry@alfa-chemistry.com
化学品供销商(2012 年起)
chemBlink 标准供应商(2012 年起)
BOC Sciences 美国 询价快递  
+1 (631) 485-4226
info@bocsci.com
Skype 聊天
化学品供销商
chemBlink 集群供应商(2012 年起)
International Laboratory Limited 美国 询价快递  
+1 (650) 278-9963
admin@intlab.org
化学品生产商(2002 年起)
Omicron Biochemicals, Inc. 美国 询价快递  
+1 (574) 287-6910
omicron@omicronbio.com
化学品生产商
基本信息
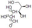
产品名称 D-葡萄糖-1,2,3-13C3
英文名 D-Glucose-1,2,3-13C3
分子结构 CAS 登录号:478529-32-7, D-葡萄糖-1,2,3-13C3
CAS 登录号 478529-32-7
市场分析报告
请浏览D-葡萄糖-1,2,3-13C3市场分析报告总目录
相关产品
D-葡萄糖-6-13C-6,6-C-D2  3-O-甲基-D-葡萄糖-6-13C  1,5-脱水-2-脱氧-D-阿拉伯糖-己-1-烯糖...  尿苷 5'-(三氢二磷酸酯) P'-(alpha-...  2-(乙酰氨基)-2-脱氧-D-葡萄糖-2-13C  2-(乙酰基-13C2-氨基)-2-脱氧-D-葡萄...  2-(乙酰基-13C2-氨基-15N)-2-脱氧-...  D-葡萄糖-4,6-13C2  D-葡萄糖-4,5-C-D2  D-葡萄糖-4,5,6,6-C-D4  2,3-二羟基-(2R)-丙醛-3-13C  2,3-二羟基-(2R)-丙醛-1,2,3,3-D...  2,3-二羟基-(2R)-丙醛-2-D  2-羟基-乙醛-2-13C  羟基-乙醛-13C2