基本信息
| 产品名称 |
2'-脱氧胞苷酰-(3'-5')-胸苷 |
| 英文名 |
2'-Deoxycytidylyl-(3'-5')-Thymidine |
| 别名 |
[(2R,3S,5S)-5-(4-Amino-2-Oxo-Pyrimidin-1-Yl)-2-(Hydroxymethyl)Tetrahydrofuran-3-Yl] [(2R,3S,5R)-3-Hydroxy-5-(5-Methyl-2,4-Dioxo-Pyrimidin-1-Yl)Tetrahydrofuran-2-Yl]Methyl Hydrogen Phosphate; [(2R,3S,5S)-5-(4-Amino-2-Oxo-1-Pyrimidinyl)-2-(Hydroxymethyl)-3-Tetrahydrofuranyl] [(2R,3S,5R)-3-Hydroxy-5-(5-Methyl-2,4-Dioxo-1-Pyrimidinyl)-2-Tetrahydrofuranyl]Methyl Hydrogen Phosphate; [(2R,3S,5S)-5-(4-Amino-2-Keto-Pyrimidin-1-Yl)-2-Methylol-Tetrahydrofuran-3-Yl] [(2R,3S,5R)-5-(2,4-Diketo-5-Methyl-Pyrimidin-1-Yl)-3-Hydroxy-Tetrahydrofuran-2-Yl]Methyl Hydrogen Phosphate |
|
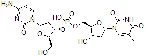
| 分子结构 |
 |
| 分子式 |
C19H26N5O11P |
| 分子量 |
531.42 |
| CAS 登录号 |
4829-64-5 |
| 分子行输入简码 SMILES |
[C@@H]4(O[P](OC[C@H]2O[C@@H](N1C(=O)NC(=O)C(=C1)C)C[C@@H]2O)(=O)O)[C@H](O[C@H](N3C(=O)N=C(N)C=C3)C4)CO |
| 国际化学标识码 InChI |
1S/C19H26N5O11P/c1-9-6-24(19(29)22-17(9)27)15-4-10(26)13(34-15)8-32-36(30,31)35-11-5-16(33-12(11)7-25)23-3-2-14(20)21-18(23)28/h2-3,6,10-13,15-16,25-26H,4-5,7-8H2,1H3,(H,30,31)(H2,20,21,28)(H,22,27,29)/t10-,11-,12+,13+,15+,16-/m0/s1 |
| 国际化学标识检索码 InChIKey |
OUJLZFGNZMPALU-LMNBOPHZSA-N |
|