Online Database of Chemicals from Around the World

N-[(1R,2E,4E,6S,8E,10E,12S,14E,17S)-6,12-二羟基-3,9,15,17-四甲基-16-氧代环十七碳-2,4,8,10,14-五烯-1-基]-2-羟基丙酰胺
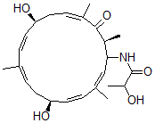
[CAS# 51741-82-3]

基本信息
产品名称 N-[(1R,2E,4E,6S,8E,10E,12S,14E,17S)-6,12-二羟基-3,9,15,17-四甲基-16-氧代环十七碳-2,4,8,10,14-五烯-1-基]-2-羟基丙酰胺
英文名 N-[(1R,2E,4E,6S,8E,10E,12S,14E,17S)-6,12-Dihydroxy-3,9,15,17-Tetramethyl-16-Oxocycloheptadeca-2,4,8,10,14-Pentene-1-Yl]-2-Hydroxypropanamide
别名 N-[(2Z,4Z,6S,8Z,10Z,12S,14Z,17S)-6,12-Dihydroxy-3,9,15,17-Tetramethyl-16-Oxo-1-Cycloheptadeca-2,4,8,10,14-Pentaenyl]-2-Hydroxy-Propanamide; N-[(2Z,4Z,6S,8Z,10Z,12S,14Z,17S)-6,12-Dihydroxy-16-Keto-3,9,15,17-Tetramethyl-1-Cycloheptadeca-2,4,8,10,14-Pentaenyl]-2-Hydroxy-Propionamide; Brn 2954904
分子结构 CAS 登录号:51741-82-3, N-[(1R,2E,4E,6S,8E,10E,12S,14E,17S)-6,12-二羟基-3,9,15,17-四甲基-16-氧代环十七碳-2,4,8,10,14-五烯-1-基]-2-羟基丙酰胺
分子式 C24H35NO5
分子量 417.54
CAS 登录号 51741-82-3
分子行输入简码 SMILES [C@@H]1(C(NC(=O)C(O)C)\C=C(/C=C\[C@@H](O)C/C=C(\C=C/[C@@H](O)C/C=C(C1=O)/C)C)C)C
国际化学标识码 InChI 1S/C24H35NO5/c1-15-6-10-20(27)12-8-16(2)14-22(25-24(30)19(5)26)18(4)23(29)17(3)9-13-21(28)11-7-15/h6-9,11-12,14,18-22,26-28H,10,13H2,1-5H3,(H,25,30)/b11-7-,12-8-,15-6-,16-14-,17-9-/t18-,19?,20-,21+,22?/m0/s1
国际化学标识检索码 InChIKey WNPBZRKAWLYSOP-FMNDFTDJSA-N
市场分析报告
请浏览N-[(1R,2E,4E,6S,8E,10E,12S,14E,17S)-6,12-二羟基-3,9,15,17-四甲基-16-氧代环十七碳-2,4,8,10,14-五烯-1-基]-2-羟基丙酰胺市场分析报告总目录
相关产品
2-氨基-3-羟基-3-甲基丁酸  alpha-生育酚亚油酸酯  肌醇胺霉素  木麻黄素  甲基 2-甲基-1,8-萘啶-3-基甲酮  聚(赖氨酰-(亮氨酰-聚-丙氨酸))  1-甲基-2-(三甲氧基硅烷基)乙基甲基丙烯酸酯  3-氨基-2,6-二氯甲苯-4-磺酸  异十一烷-1-醇  2-(2-氯苯基)-3',6'-二(二乙基氨基)螺...  羟基甲烷磺酸钾  3-[(2-乙基己基)氧基]丙基铵乙酸盐  5-甲基-3-亚甲基-5-己烯-2-酮  (1R,2S,4R)-rel-双环[2.2.1]庚...  外-2-甲基-双环[2.2.1]庚-5-烯-2-甲...