Online Database of Chemicals from Around the World

6'-N-甲基西索米星
[CAS# 51909-61-6]

供应商
CAS#: 51909-61-6
产品: 6'-N-甲基西索米星
暂时没有厂家供应该产品。
基本信息
产品名称 6'-N-甲基西索米星
英文名 6'-N-Methylsisomicin
别名 2-[4,6-Diamino-3-[[3-Amino-6-(Methylaminomethyl)-3,4-Dihydro-2H-Pyran-2-Yl]Oxy]-2-Hydroxy-Cyclohexoxy]-5-Methyl-4-Methylamino-Tetrahydropyran-3,5-Diol; 2-[4,6-Diamino-3-[[3-Amino-6-(Methylaminomethyl)-3,4-Dihydro-2H-Pyran-2-Yl]Oxy]-2-Hydroxycyclohexoxy]-5-Methyl-4-Methylaminotetrahydropyran-3,5-Diol; 2-[4,6-Diamino-3-[[3-Amino-6-(Methylaminomethyl)-3,4-Dihydro-2H-Pyran-2-Yl]Oxy]-2-Hydroxy-Cyclohexyl]Oxy-5-Methyl-4-Methylamino-Oxane-3,5-Diol
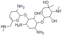
分子结构 CAS 登录号:51909-61-6, 6'-N-甲基西索米星
分子式 C20H39N5O7
分子量 461.56
CAS 登录号 51909-61-6
分子行输入简码 SMILES C(NC)C3=CCC(N)C(OC2C(O)C(OC1OCC(O)(C(NC)C1O)C)C(N)CC2N)O3
国际化学标识码 InChI 1S/C20H39N5O7/c1-20(28)8-29-19(14(27)17(20)25-3)32-16-12(23)6-11(22)15(13(16)26)31-18-10(21)5-4-9(30-18)7-24-2/h4,10-19,24-28H,5-8,21-23H2,1-3H3
国际化学标识检索码 InChIKey ARCVBMPERJRMKB-UHFFFAOYSA-N
物理化学性质
密度 1.347g/cm3 (计算值)
沸点 670.552°C at 760 mmHg (计算值)
闪点 359.337°C (计算值)
市场分析报告
请浏览6'-N-甲基西索米星市场分析报告总目录
相关产品
4,8-二甲基壬-1,3,7-三烯  己二酸与六氢-2H-氮杂卓-2-酮和 1-哌嗪乙胺...  狼尾草麦角碱  2-乙氧基乙基膦酸二乙酯  2-苄基-4-甲基吡啶  4-(对甲苯基)丁醇  山藿香素  2-(乙基苯胺基)乙基苯甲酸酯  4-[(4-氯-2-甲氧基苯基)偶氮]-N-(2,...  N-二十二烷基-D-葡糖酰胺  1,3-二甲基-7-[2-(烟酰氧基)-3-(N-...  2-[[2-羟基-3-(3,6-二氢-1,3-二甲...  (1S)-1-(羟基甲基)-5,7-二甲基-4-(...  碳霉氨糖  2,2-二甲基-3-(2-甲基-1-丙烯基)-环丙...