Online Database of Chemicals from Around the World

3-[2-(2-乙氧基乙氧基)乙氧基亚氨基甲基]利福霉素 Sv
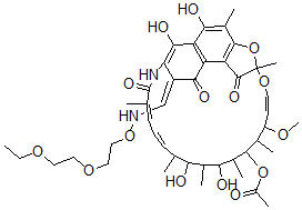
[CAS# 52370-31-7]

供应商
CAS#: 52370-31-7
产品: 3-[2-(2-乙氧基乙氧基)乙氧基亚氨基甲基]利福霉素 Sv
暂时没有厂家供应该产品。
基本信息
产品名称 3-[2-(2-乙氧基乙氧基)乙氧基亚氨基甲基]利福霉素 Sv
英文名 3-[2-(2-Ethoxyethoxy)Ethoxyiminomethyl]Rifamycin Sv
别名 3-Formylrifamycin Sv O-(2-(2-Ethoxyethoxy)Ethyl)Oxime; Brn 5418758
分子结构 CAS 登录号:52370-31-7, 3-[2-(2-乙氧基乙氧基)乙氧基亚氨基甲基]利福霉素 Sv
分子式 C44H60N2O15
分子量 856.96
CAS 登录号 52370-31-7
分子行输入简码 SMILES C(ON/C=C2/C(=O)C1=C3C(=C(C4=C1C(=O)C(O/C=C/C(OC)C(C(OC(=O)C)C(C(O)C(C(O)C(C)\C=C\C=C(C(=O)NC2=C3O)\C)C)C)C)(O4)C)C)O)COCCOCC
国际化学标识码 InChI 1S/C44H60N2O15/c1-11-56-17-18-57-19-20-59-45-21-29-34-39(52)32-31(38(29)51)33-41(27(7)37(32)50)61-44(9,42(33)53)58-16-15-30(55-10)24(4)40(60-28(8)47)26(6)36(49)25(5)35(48)22(2)13-12-14-23(3)43(54)46-34/h12-16,21-22,24-26,30,35-36,40,45,48-50,52H,11,17-20H2,1-10H3,(H,46,54)/b13-12+,16-15+,23-14-,29-21+
国际化学标识检索码 InChIKey BFXFAAGRFODEEG-YNEICERZSA-N
市场分析报告
请浏览3-[2-(2-乙氧基乙氧基)乙氧基亚氨基甲基]利福霉素 Sv市场分析报告总目录
相关产品
3-[2-(2-丁氧基乙氧基)乙氧基亚氨基甲基]利...  L-gamma-谷氨酰-3-羟基-L-酪氨酸  1,2-二氢-1-二甲基氨基-4-苯基-3-萘磺酸  6-氨基-5-[[2-磺基-4-[[2-(磺基氧基...  2-二苯甲基氧基乙基-[2-[10-[2-[2-二...  2,3-二氢-5-甲氧基-N-甲基-1H-茚-1-...  2,3-二氢-5-甲氧基-1H-茚-1-胺  4-甲氧基-茚满-1-基胺  黄曲霉毒素 D1  1-氨基-4-(丁基氨基)-9,10-二氢-9,1...  1-氨基-4-(乙基氨基)-9,10-二氢-9,1...  1-氨基-4-(乙基氨基)-9,10-二氢-9,1...  N-去甲基西咪替丁  新癸酸锆(2+)  己二酸单乙烯基酯