Online Database of Chemicals from Around the World

伊短菌素 A
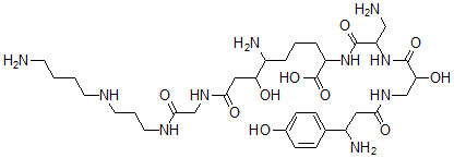
[CAS# 52452-77-4]

供应商
CAS#: 52452-77-4
产品: 伊短菌素 A
暂时没有厂家供应该产品。
基本信息
产品名称 伊短菌素 A
英文名 Edeine A
别名 6-Amino-2-[[3-Amino-2-[[3-[[3-Amino-3-(4-Hydroxyphenyl)Propanoyl]Amino]-2-Hydroxy-Propanoyl]Amino]Propanoyl]Amino]-9-[[2-[3-(4-Aminobutylamino)Propylamino]-2-Oxo-Ethyl]Amino]-7-Hydroxy-9-Oxo-Nonanoic Acid; 6-Amino-2-[[3-Amino-2-[[3-[[3-Amino-3-(4-Hydroxyphenyl)-1-Oxopropyl]Amino]-2-Hydroxy-1-Oxopropyl]Amino]-1-Oxopropyl]Amino]-9-[[2-[3-(4-Aminobutylamino)Propylamino]-2-Oxoethyl]Amino]-7-Hydroxy-9-Oxononanoic Acid; 6-Amino-2-[[3-Amino-2-[[3-[[3-Amino-3-(4-Hydroxyphenyl)Propanoyl]Amino]-2-Hydroxy-Propanoyl]Amino]Propanoyl]Amino]-9-[[2-[3-(4-Aminobutylamino)Propylamino]-2-Keto-Ethyl]Amino]-7-Hydroxy-9-Keto-Pelargonic Acid
分子结构 CAS 登录号:52452-77-4, 伊短菌素 A
分子式 C33H58N10O10
分子量 754.88
CAS 登录号 52452-77-4
分子行输入简码 SMILES C1=C(C(N)CC(=O)NCC(O)C(=O)NC(C(=O)NC(C(=O)O)CCCC(N)C(O)CC(=O)NCC(=O)NCCCNCCCCN)CN)C=CC(=C1)O
国际化学标识码 InChI 1S/C33H58N10O10/c34-11-1-2-12-38-13-4-14-39-30(49)19-41-29(48)16-26(45)22(36)5-3-6-24(33(52)53)42-31(50)25(17-35)43-32(51)27(46)18-40-28(47)15-23(37)20-7-9-21(44)10-8-20/h7-10,22-27,38,44-46H,1-6,11-19,34-37H2,(H,39,49)(H,40,47)(H,41,48)(H,42,50)(H,43,51)(H,52,53)
国际化学标识检索码 InChIKey HENXXJCYASTLGZ-UHFFFAOYSA-N
物理化学性质
密度 1.304g/cm3 (计算值)
沸点 1240.308°C at 760 mmHg (计算值)
闪点 703.913°C (计算值)
市场分析报告
请浏览伊短菌素 A市场分析报告总目录
相关产品
伊短菌素 B  Acecobarb  1,3-异苯并呋喃二酮与 2,2-二甲基-1,3-...  3-[(5,6-二溴己基)氧基亚氨基甲基]利福霉素  10-去氮杂氨基蝶呤  2-氨基噻唑-5-乙酸  肾上腺素硫酸盐  壬二酸二钾  癸二酸二钾  N-(2-丙酰苯基)乙酰胺  3-硫代-2,4-二氮杂螺[5.5]十一烷-1,5...  2,4-二甲基-1H-吡咯-3-羧酸甲酯  六(1-氮丙啶基)三磷杂三嗪  2-氯-2,2-二苯基-乙酸乙酯  二甲基氨基乙基乙酰基水杨酸酯