Online Database of Chemicals from Around the World

扁枝衣霉素 B
[CAS# 53296-30-3]

供应商
CAS#: 53296-30-3
产品: 扁枝衣霉素 B
暂时没有厂家供应该产品。
基本信息
产品名称 扁枝衣霉素 B
英文名 Everninomicin B
别名 [6-[4',7-Dihydroxy-6-[3-Hydroxy-2-[4-Hydroxy-6-[7'-Hydroxy-7-Methoxy-7'-(1-Methoxyethyl)Spiro[4,6,7,7A-Tetrahydro-3Ah-[1,3]Dioxolo[4,5-D]Pyran-2,4'-6,7A-Dihydro-3Ah-[1,3]Dioxolo[4,5-C]Pyran]-6-Yl]Oxy-5-Methoxy-2-(Methoxymethyl)Oxan-3-Yl]Oxy-5-Methoxy-6-Methyl-Oxan-4-Yl]Oxy-2',4,7A-Trimethyl-Spiro[3A,4,6,7-Tetrahydro-[1,3]Dioxolo[4,5-D]Pyran-2,6'-Oxane]-3'-Yl]Oxy-4-(5-Methoxy-4,6-Dimethyl-4-Nitro-Oxan-2-Yl)Oxy-2-Methyl-Oxan-3-Yl] 3,5-Dichloro-4-Hydroxy-2-Methoxy-6-Methyl-Benzoate; Everninomycin-B; Eveninomicin B Sodium Salt
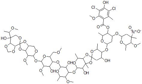
分子结构 CAS 登录号:53296-30-3, 扁枝衣霉素 B
分子式 C66H99Cl2NO36
分子量 1553.40
CAS 登录号 53296-30-3
分子行输入简码 SMILES C(OC)C5OC(OC2OCC1OC3(OC1C2OC)OCC(O)(C4OCOC34)C(OC)C)C(OC)C(O)C5OC%12OC(C(OC)C(OC7OC(C6OC%11(OC6(C7O)C)OC(C(OC%10OC(C(OC(=O)C8=C(OC)C(=C(O)C(=C8C)Cl)Cl)C(OC9OC(C(OC)C([N+]([O-])=O)(C9)C)C)C%10)C)C(O)C%11)C)C)C%12O)C
国际化学标识码 InChI 1S/C66H99Cl2NO36/c1-24-37(48(82-13)39(68)40(71)38(24)67)57(75)97-44-25(2)90-35(17-32(44)94-36-19-62(8,69(77)78)53(85-16)28(5)91-36)96-43-27(4)101-65(18-31(43)70)104-54-29(6)93-61(52(74)63(54,9)105-65)99-49-42(73)58(92-26(3)45(49)81-12)98-46-33(20-79-10)95-60(50(83-14)41(46)72)100-59-51(84-15)47-34(21-86-59)102-66(103-47)56-55(87-23-88-56)64(76,22-89-66)30(7)80-11/h25-36,41-47,49-56,58-61,70-74,76H,17-23H2,1-16H3
国际化学标识检索码 InChIKey ZFRCWSCZDCAGAJ-UHFFFAOYSA-N
物理化学性质
密度 1.497g/cm3 (计算值)
市场分析报告
请浏览扁枝衣霉素 B市场分析报告总目录
相关产品
3-氯-4-(5-氧代-3-苯基-1-咪唑烷基)苯...  3-溴-4-(5-氧代-3-苯基-咪唑烷-1-基)...  1-苯基-3-(2-氯-4-氨基磺酰基苯基)海因  2-硝基-9,10-二氢菲  [(2-氯-2-丙烯基)氧基]苯  3-磺基苯甲酸钾盐  6-羟基-萘并[1,2-c]呋喃-1,3-二酮  2-丁氧基乙基氯乙酸酯  1-(2,4-二氯苯氧基)丙-2-醇  N'-亚苄基-4-吡啶甲酰肼  N,N-二乙基-N'-(6-甲氧基-4-甲基-8-...  5-氯-2-羟基苄醇  嘌呤核糖甙 3',5'-单磷酸酯  3-氧代-1,2,4-三唑并[4,3-a]吡啶-2...  4-[(4-氨基-2,5-二甲苯基)偶氮]苯磺酸