基本信息
| 产品名称 |
N,N-二乙基-N-甲基-2-(2-(三甲基铵基)乙氧基)-1-丙铵二碘化物 |
| 英文名 |
N,N-Diethyl-N-methyl-2-(2-(trimethylammonio)ethoxy)-1-propanaminium diiodide |
| 别名 |
Diethyl-Methyl-[2-(2-Trimethylammonioethoxy)Propyl]Ammonium Diiodide; 1-Propanaminium, N,N-Diethyl-N-Methyl-2-(2-(Trimethylammonio)Ethoxy)-, Diiodide (9Ci); 2-(2-Dimethylaminoethoxy)-N,N-Diethylpropylamine Dimethiodide |
|
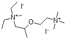
| 分子结构 |
 |
| 分子式 |
C13H32I2N2O |
| 分子量 |
486.22 |
| CAS 登录号 |
53597-29-8 |
| 分子行输入简码 SMILES |
C(C)[N+](C)(CC)CC(C)OCC[N+](C)(C)C.[I-].[I-] |
| 国际化学标识码 InChI |
1S/C13H32N2O.2HI/c1-8-15(7,9-2)12-13(3)16-11-10-14(4,5)6;;/h13H,8-12H2,1-7H3;2*1H/q+2;;/p-2 |
| 国际化学标识检索码 InChIKey |
RUBDHVDUWRMJGL-UHFFFAOYSA-L |
|