Online Database of Chemicals from Around the World

(1S,2S,3R,4S,6R)-4,6-二氨基-3-{[3-氨基-6-(氨基甲基)-3,4-二氢-2H-吡喃-2-基]氧基}-2-羟基环己基 3-脱氧-4-C-甲基-3-(甲基氨基)-beta-L-阿拉伯糖吡喃糖苷硫酸盐(2:5)
[CAS# 53776-71-9]

供应商
Achemo Scientific Limited 香港 询价快递  
+852 3174-6428
sales@achemo.com
化学品生产商(2010 年起)
Alfa Chemistry 美国 询价快递  
+1 (201) 478-8534
inquiry@alfa-chemistry.com
化学品供销商(2012 年起)
chemBlink 标准供应商(2012 年起)
International Laboratory Limited 美国 询价快递  
+1 (650) 278-9963
admin@intlab.org
化学品生产商(2002 年起)
RIA International LLC 美国 询价快递  
+1 (973) 581-1282/
marketing@riausa.net,nj@riausa.net
化学品供销商
厦门志信化学有限公司 中国 询价快递  
+86 13806087780
sale@simagchem.com
化学品生产商(2002 年起)
chemBlink 优势供应商(2020 年起)
基本信息
产品名称 (1S,2S,3R,4S,6R)-4,6-二氨基-3-{[3-氨基-6-(氨基甲基)-3,4-二氢-2H-吡喃-2-基]氧基}-2-羟基环己基 3-脱氧-4-C-甲基-3-(甲基氨基)-beta-L-阿拉伯糖吡喃糖苷硫酸盐(2:5)
英文名 (1S,2S,3R,4S,6R)-4,6-Diamino-3-{[3-Amino-6-(Aminomethyl)-3,4-Dihydro-2H-Pyran-2-Yl]Oxy}-2-Hydroxycyclohexyl 3-Deoxy-4-C-Methyl-3-(Methylamino)-beta-L-Arabinopyranoside Sulfate (2:5)
别名 disisomicin pentakis(sulphate); SISOMICIN SULFATE
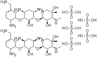
分子结构 CAS 登录号:53776-71-9, (1S,2S,3R,4S,6R)-4,6-二氨基-3-{[3-氨基-6-(氨基甲基)-3,4-二氢-2H-吡喃-2-基]氧基}-2-羟基环己基 3-脱氧-4-C-甲基-3-(甲基氨基)-beta-L-阿拉伯糖吡喃糖苷硫酸盐(2:5)
分子式 C38H84N10O34S5
分子量 1385.45
CAS 登录号 53776-71-9
分子行输入简码 SMILES OS(O)(=O)=O.OS(O)(=O)=O.C[C@]3(O)CO[C@H](O[C@H]2[C@H](N)C[C@H](N)[C@@H](OC1OC(/CN)=C\CC1N)[C@@H]2O)[C@H](O)[C@H]3NC.OS(O)(=O)=O.OS(O)(=O)=O.OS(O)(=O)=O.NC3C\C=C(\CN)OC3O[C@@H]2[C@@H](N)C[C@@H](N)[C@H](O[C@H]1OC[C@](C)(O)[C@H](NC)[C@H]1O)[C@H]2O
国际化学标识码 InChI 1S/2C19H37N5O7.5H2O4S/c2*1-19(27)7-28-18(13(26)16(19)24-2)31-15-11(23)5-10(22)14(12(15)25)30-17-9(21)4-3-8(6-20)29-17;5*1-5(2,3)4/h2*3,9-18,24-27H,4-7,20-23H2,1-2H3;5*(H2,1,2,3,4)/t2*9?,10-,11+,12-,13+,14+,15-,16+,17?,18+,19-;;;;;/m00...../s1
国际化学标识检索码 InChIKey CIKNYWFPGZCHDL-UYIUNSPHSA-N
物理化学性质
沸点 1504.5°C at 760 mmHg (计算值)
闪点 863.7°C (计算值)
市场分析报告
请浏览(1S,2S,3R,4S,6R)-4,6-二氨基-3-{[3-氨基-6-(氨基甲基)-3,4-二氢-2H-吡喃-2-基]氧基}-2-羟基环己基 3-脱氧-4-C-甲基-3-(甲基氨基)-beta-L-阿拉伯糖吡喃糖苷硫酸盐(2:5)市场分析报告总目录
相关产品
3-甲氧基-2-丁醇  N-(4-乙氧基苯基)-2-甲氧基乙酰胺  4-[5-(羟基甲基)-2-呋喃基]苯甲酸  2-(3-溴苯基)-1,3,4-恶二唑  4-环庚烯-1-胺  4-甲基-N-(1H-四唑-1-基)苯磺酰胺  4-(2-氯乙基)苯磺酰胺  3,3',3'',3'''-[3,8,13,17-...  N-{[(4-硝基苄基)氧基]羰基}丙氨酸  1-(2-羟基-5-甲氧基苯基)脲  4'-甲基-3-硝基联苯  4'-壬基-4-联苯甲腈  二(11-甲基十二碳基)2-丁烯二酸酯  苄基(3-硝基苯基)氨基甲酸酯  2-硝基-丙二醛钠盐水合物(1:1:1)