基本信息
| 产品名称 |
乙氯维诺葡糖苷酸 |
| 英文名 |
Ethchlorvynol Glucuronide |
| 别名 |
(2S,3S,4S,5R,6S)-6-[(E)-3-Chloro-1-Ethyl-1-Ethynyl-Prop-2-Enoxy]-3,4,5-Trihydroxy-Tetrahydropyran-2-Carboxylic Acid; (2S,3S,4S,5R,6S)-6-[(E)-3-Chloro-1-Ethyl-1-Ethynylprop-2-Enoxy]-3,4,5-Trihydroxy-2-Tetrahydropyrancarboxylic Acid; (2S,3S,4S,5R,6S)-6-[(E)-1-Chloro-3-Ethyl-Pent-1-En-4-Yn-3-Yl]Oxy-3,4,5-Trihydroxy-Oxane-2-Carboxylic Acid |
|
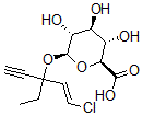
| 分子结构 |
 |
| 分子式 |
C13H17ClO7 |
| 分子量 |
320.73 |
| CAS 登录号 |
56050-11-4 |
| 分子行输入简码 SMILES |
[C@H]1(OC(\C=C\Cl)(C#C)CC)[C@H](O)[C@@H](O)[C@H](O)[C@H](O1)C(=O)O |
| 国际化学标识码 InChI |
1S/C13H17ClO7/c1-3-13(4-2,5-6-14)21-12-9(17)7(15)8(16)10(20-12)11(18)19/h1,5-10,12,15-17H,4H2,2H3,(H,18,19)/b6-5+/t7-,8-,9+,10-,12-,13?/m0/s1 |
| 国际化学标识检索码 InChIKey |
QVPCVYXUELXQBC-KHPYKDKZSA-N |
|