Online Database of Chemicals from Around the World

(4R,5S,6S,7R,9R,11E,15S,16R)-7-(2-羟基乙基)-5,9,13,15-四甲基-16-乙基-4-羟基-6-[3-(二甲基氨基)-3,4,6-三脱氧-beta-D-木糖基-己糖吡喃糖苷氧基]-1-氧杂环十六碳-11,13-二烯-2,10-二酮
[CAS# 58947-83-4]

供应商
CAS#: 58947-83-4
产品: (4R,5S,6S,7R,9R,11E,15S,16R)-7-(2-羟基乙基)-5,9,13,15-四甲基-16-乙基-4-羟基-6-[3-(二甲基氨基)-3,4,6-三脱氧-beta-D-木糖基-己糖吡喃糖苷氧基]-1-氧杂环十六碳-11,13-二烯-2,10-二酮
暂时没有厂家供应该产品。
基本信息
产品名称 (4R,5S,6S,7R,9R,11E,15S,16R)-7-(2-羟基乙基)-5,9,13,15-四甲基-16-乙基-4-羟基-6-[3-(二甲基氨基)-3,4,6-三脱氧-beta-D-木糖基-己糖吡喃糖苷氧基]-1-氧杂环十六碳-11,13-二烯-2,10-二酮
英文名 (4R,5S,6S,7R,9R,11E,15S,16R)-7-(2-Hydroxyethyl)-5,9,13,15-Tetramethyl-16-Ethyl-4-Hydroxy-6-[3-(Dimethylamino)-3,4,6-Trideoxy-beta-D-Xylo-Hexopyranosyloxy]-1-Oxacyclohexadeca-11,13-Diene-2,10-Dione
别名 (11E,13E)-6-(4-Dimethylamino-3-Hydroxy-6-Methyl-Tetrahydropyran-2-Yl)Oxy-16-Ethyl-4-Hydroxy-7-(2-Hydroxyethyl)-5,9,13,15-Tetramethyl-1-Oxacyclohexadeca-11,13-Diene-2,10-Dione; (11E,13E)-6-[(4-Dimethylamino-3-Hydroxy-6-Methyl-2-Tetrahydropyranyl)Oxy]-16-Ethyl-4-Hydroxy-7-(2-Hydroxyethyl)-5,9,13,15-Tetramethyl-1-Oxacyclohexadeca-11,13-Diene-2,10-Dione; (11E,13E)-6-(4-Dimethylamino-3-Hydroxy-6-Methyl-Tetrahydropyran-2-Yl)Oxy-16-Ethyl-4-Hydroxy-7-(2-Hydroxyethyl)-5,9,13,15-Tetramethyl-1-Oxacyclohexadeca-11,13-Diene-2,10-Quinone
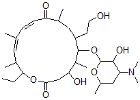
分子结构 CAS 登录号:58947-83-4, (4R,5S,6S,7R,9R,11E,15S,16R)-7-(2-羟基乙基)-5,9,13,15-四甲基-16-乙基-4-羟基-6-[3-(二甲基氨基)-3,4,6-三脱氧-beta-D-木糖基-己糖吡喃糖苷氧基]-1-氧杂环十六碳-11,13-二烯-2,10-二酮
分子式 C31H53NO8
分子量 567.76
CAS 登录号 58947-83-4
分子行输入简码 SMILES C(C2C(OC1C(C(N(C)C)CC(O1)C)O)C(C(CC(OC(C(\C=C(\C=C\C(C(C2)C)=O)C)C)CC)=O)O)C)CO
国际化学标识码 InChI 1S/C31H53NO8/c1-9-27-20(4)14-18(2)10-11-25(34)19(3)15-23(12-13-33)30(22(6)26(35)17-28(36)39-27)40-31-29(37)24(32(7)8)16-21(5)38-31/h10-11,14,19-24,26-27,29-31,33,35,37H,9,12-13,15-17H2,1-8H3/b11-10+,18-14+
国际化学标识检索码 InChIKey KOARRXOZPWLCJM-NJESZQPCSA-N
物理化学性质
密度 1.134g/cm3 (计算值)
沸点 729.228°C at 760 mmHg (计算值)
闪点 394.823°C (计算值)
市场分析报告
请浏览(4R,5S,6S,7R,9R,11E,15S,16R)-7-(2-羟基乙基)-5,9,13,15-四甲基-16-乙基-4-羟基-6-[3-(二甲基氨基)-3,4,6-三脱氧-beta-D-木糖基-己糖吡喃糖苷氧基]-1-氧杂环十六碳-11,13-二烯-2,10-二酮市场分析报告总目录
相关产品
8-[2-(4-羟基-6-氧代四氢-2H-吡喃-2...  2,2'-氧基二[5,5-二(溴甲基)-1,3,2...  3,3'-氧基二[8,9-二溴-2,4-二氧杂-3...  2,2'-氧基二[5,5-二甲基-4-丙基-1,3...  2,2'-氧基二(4-异丙基-5,5-二甲基-1,...  6,7-二氢-1-甲基-1H-1,2,3-三唑并[...  5-[(4-甲基-3-硝基苯甲酰)氨基]-N-(苯...  2,3-二氢-2,5-二甲基-1,4-二噻英 1,...  3-(4,5-二氯-O-甲苯基)-1-(1,3-二...  (E)-1-氯戊-1-烯-3-酮  反式-3-氯-4'-苯基苯丙烯酮  三碳酸二镨  碳酸钬  (7R-顺式)-9-乙酰基-7-((3-氨基-2,...  (7S-顺式)-9-乙酰基-7-((3-氨基-2,...