基本信息
| 产品名称 |
20-甲基-13,14-(二去羟基前列腺素) F2alpha |
| 英文名 |
20-Methyl-13,14-(Didehydroprostaglandin) F2alpha |
| 别名 |
20-Methyl-13,14-(Didehydroprostaglandin) F2alpha; 20-Methyl-13,14-Didehydro-Pgf2alpha; Prost-5-En-13-Yn-1-Oic Acid, 9,11,15-Trihydroxy-20-Methyl-, (5Z,9Alpha,11Alpha,15S)- |
|
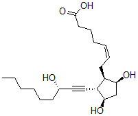
| 分子结构 |
 |
| 分子式 |
C21H34O5 |
| 分子量 |
366.50 |
| CAS 登录号 |
59476-66-3 |
| 分子行输入简码 SMILES |
[C@H]1([C@H]([C@@H](O)C[C@H]1O)C\C=C/CCCC(=O)O)C#C[C@@H](O)CCCCCC |
| 国际化学标识码 InChI |
1S/C21H34O5/c1-2-3-4-7-10-16(22)13-14-18-17(19(23)15-20(18)24)11-8-5-6-9-12-21(25)26/h5,8,16-20,22-24H,2-4,6-7,9-12,15H2,1H3,(H,25,26)/b8-5-/t16-,17+,18+,19-,20+/m0/s1 |
| 国际化学标识检索码 InChIKey |
MAALIOOFFJXENL-UWJLIRLQSA-N |
|