基本信息
| 产品名称 |
1,2-二己酰磷脂酰乙醇胺 |
| 英文名 |
1,2-Dihexanoylphosphatidylethanolamine |
| 别名 |
[1-[(2-Aminoethoxy-Hydroxy-Phosphoryl)Oxymethyl]-2-Hexanoyloxy-Ethyl] Hexanoate; Hexanoic Acid [1-[(2-Aminoethoxy-Hydroxyphosphoryl)Oxymethyl]-2-(1-Oxohexoxy)Ethyl] Ester; Hexanoic Acid [1-[(2-Aminoethoxy-Hydroxy-Phosphoryl)Oxymethyl]-2-Caproyloxy-Ethyl] Ester |
|
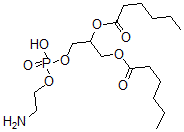
| 分子结构 |
 |
| 分子式 |
C17H34NO8P |
| 分子量 |
411.43 |
| CAS 登录号 |
6060-30-6 |
| 分子行输入简码 SMILES |
C(O[P](OCCN)(=O)O)C(OC(=O)CCCCC)COC(=O)CCCCC |
| 国际化学标识码 InChI |
1S/C17H34NO8P/c1-3-5-7-9-16(19)23-13-15(26-17(20)10-8-6-4-2)14-25-27(21,22)24-12-11-18/h15H,3-14,18H2,1-2H3,(H,21,22) |
| 国际化学标识检索码 InChIKey |
PELYUHWUVHDSSU-UHFFFAOYSA-N |
|