Online Database of Chemicals from Around the World

2',5'-寡聚腺苷酸
[CAS# 61172-40-5]

供应商
CAS#: 61172-40-5
产品: 2',5'-寡聚腺苷酸
暂时没有厂家供应该产品。
基本信息
产品名称 2',5'-寡聚腺苷酸
英文名 2',5'-Oligoadenylate
别名 [(2R,3R,4R,5R)-5-(6-Aminopurin-9-Yl)-4-[[(3S,4R)-5-(6-Aminopurin-9-Yl)-3,4-Dihydroxy-Tetrahydrofuran-2-Yl]Methoxy-Hydroxy-Phosphoryl]Oxy-3-Hydroxy-Tetrahydrofuran-2-Yl]Methyl [(2R,4R,5R)-2-(6-Aminopurin-9-Yl)-4-Hydroxy-5-(Phosphonooxymethyl)Tetrahydrofuran-3-Yl] Hydrogen Phosphate; [(2R,3R,4R,5R)-5-(6-Amino-9-Purinyl)-4-[[(3S,4R)-5-(6-Amino-9-Purinyl)-3,4-Dihydroxy-2-Tetrahydrofuranyl]Methoxy-Hydroxyphosphoryl]Oxy-3-Hydroxy-2-Tetrahydrofuranyl]Methyl [(2R,4R,5R)-2-(6-Amino-9-Purinyl)-4-Hydroxy-5-(Phosphonooxymethyl)-3-Tetrahydrofuranyl] Hydrogen Phosphate; [(2R,3R,4R,5R)-5-(6-Aminopurin-9-Yl)-4-[[(3S,4R)-5-(6-Aminopurin-9-Yl)-3,4-Dihydroxy-Oxolan-2-Yl]Methoxy-Hydroxy-Phosphoryl]Oxy-3-Hydroxy-Oxolan-2-Yl]Methyl [(2R,4R,5R)-2-(6-Aminopurin-9-Yl)-4-Hydroxy-5-(Phosphonooxymethyl)Oxolan-3-Yl] Hydrogen Phosphate
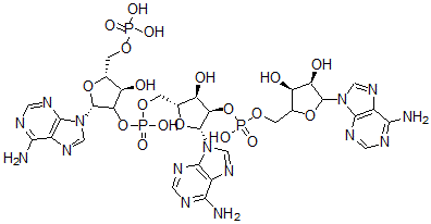
分子结构 CAS 登录号:61172-40-5, 2',5'-寡聚腺苷酸
分子式 C30H38N15O19P3
分子量 1005.64
CAS 登录号 61172-40-5
分子行输入简码 SMILES [N]8(C1OC([C@@H](O)[C@H]1O)CO[P](O[C@H]2[C@@H](O[C@@H]([C@H]2O)CO[P](OC3[C@@H](O[C@@H]([C@H]3O)CO[P](=O)(O)O)[N]4C5=C(N=C4)C(=NC=N5)N)(=O)O)[N]6C7=C(N=C6)C(=NC=N7)N)(=O)O)C9=C(N=C8)C(=NC=N9)N
国际化学标识码 InChI 1S/C30H38N15O19P3/c31-22-13-25(37-4-34-22)43(7-40-13)28-19(49)16(46)10(60-28)2-58-66(53,54)64-21-18(48)12(62-30(21)45-9-42-15-24(33)36-6-39-27(15)45)3-59-67(55,56)63-20-17(47)11(1-57-65(50,51)52)61-29(20)44-8-41-14-23(32)35-5-38-26(14)44/h4-12,16-21,28-30,46-49H,1-3H2,(H,53,54)(H,55,56)(H2,31,34,37)(H2,32,35,38)(H2,33,36,39)(H2,50,51,52)/t10?,11-,12-,16-,17-,18-,19-,20?,21-,28?,29-,30-/m1/s1
国际化学标识检索码 InChIKey SIIZPVYVXNXXQG-KGXOGWRBSA-N
物理化学性质
密度 2.487g/cm3 (计算值)
市场分析报告
请浏览2',5'-寡聚腺苷酸市场分析报告总目录
相关产品
乙酸 N'-(3-甲酰基-4-羟基苯基)酰肼  外-3,3-二甲基双环[2.2.1]庚烷-2-甲酰...  2,3'-二羟基二苯甲酮  海泡石  月桂基甲基丙烯酸酯-乙二醇二甲基丙烯酸酯共聚物  钠离子通道 I  4-(二甲基氨基)-苯甲醛 N-氧化物  4-(4-氯苯基甲基)-6,7-二甲氧基-异喹啉甲...  5-羟基-1-甲基-5-吡啶-3-基-吡咯烷-2-...  交配因子  1,4-二甲氧基蒽醌  二硫代磷酸 O,O-二乙基 S-[(1,3-二氢-...  3-脱氧-C(3)-亚甲基葡萄糖  2,4,5-三氯-3-噻吩甲醛  4-二甲基氨基-3,5-二甲苯酚