Online Database of Chemicals from Around the World

1-(4-乙基-1-哌嗪基)-3-异丙氧基-2-丙醇
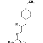
[CAS# 612048-35-8]

供应商
深圳爱拓化学有限公司 中国 询价快递  
+86 13417589054//+86 13424336463
info@atomaxchem.com,atomax.chemicals@gmail.com,
QQ 交流
化学品生产商
Princeton BioMolecular Research, Inc. 美国 询价快递  
+1 (732) 355-9920
info@princetonbio.com
化学品生产商(1998 年起)
Ryan Scientific, Inc. 美国 询价快递  
+1 (843)-884-4911
sales@ryansci.com
化学品生产商
Specs Ltd. 荷兰 询价快递  
+31 (15) 251-8111
info@specs.net
化学品生产商(1987 年起)
基本信息
产品名称 1-(4-乙基-1-哌嗪基)-3-异丙氧基-2-丙醇
英文名 1-(4-Ethyl-1-piperazinyl)-3-isopropoxy-2-propanol
别名 1-(4-ethylpiperazin-1-yl)-3-isopropoxypropan-2-ol; AF-399/41692813
分子结构 CAS 登录号:612048-35-8, 1-(4-乙基-1-哌嗪基)-3-异丙氧基-2-丙醇
分子式 C12H26N2O2
分子量 230.35
CAS 登录号 612048-35-8
分子行输入简码 SMILES CCN1CCN(CC1)CC(COC(C)C)O
国际化学标识码 InChI 1S/C12H26N2O2/c1-4-13-5-7-14(8-6-13)9-12(15)10-16-11(2)3/h11-12,15H,4-10H2,1-3H3
国际化学标识检索码 InChIKey IIIGPOUGGLKXEE-UHFFFAOYSA-N
物理化学性质
密度 1.0±0.1g/cm3 (计算值)
沸点 323.6±37.0°C at 760 mmHg (计算值)
闪点 149.5±26.5°C (计算值)
折射率 1.475 (计算值)
市场分析报告
请浏览1-(4-乙基-1-哌嗪基)-3-异丙氧基-2-丙醇市场分析报告总目录
相关产品
二乙基[(3Z)-4-甲基-3-己烯-3-基]硼烷  3,4-二溴苯丙氨酸  N-(甲氧基甲基)环戊烷甲酰胺  1-环戊基戊-4-炔-1-酮  6-苯胺基-2,3-二氢-5(1H)-吲哚嗪酮  6-[(4-甲氧基苯基)氨基]-2,3-二氢-5(...  6-[(3,5-二甲氧基苯基)氨基]-2,3-二氢...  6-[(2-溴苯基)氨基]-2,3-二氢-5(1H...  6-(苄基氨基)-2,3-二氢-5(1H)-吲哚嗪...  N-(5-氧代-1,2,3,5-四氢-6-吲哚嗪基...  苄基(5-氧代-1,2,3,5-四氢-6-吲哚嗪基...  甲基6-[(2-溴苯基)氨基]-5-氧代-1,2,...  甲基5-氧代-2,3,5,6-四氢-1H-吲哚嗪并...  甲基6-苯胺基-5-氧代-1,2,3,5-四氢-8...  甲基6-(3,5-二甲氧基苯胺基)-5-氧代-2,...