Online Database of Chemicals from Around the World

Lucknomycin
[CAS# 61912-76-3]

供应商
CAS#: 61912-76-3
产品: Lucknomycin
暂时没有厂家供应该产品。
基本信息
产品名称 Lucknomycin
英文名 Lucknomycin
别名 (23E,25E,27E,29E,31E,33E,35E)-22-(4-Amino-3,5-Dihydroxy-6-Methyl-Tetrahydropyran-2-Yl)Oxy-4,6,8,10,12,14,16,18,20-Nonahydroxy-38-[1-Hydroxy-3-(4-Methylaminophenyl)-3-Oxo-Propyl]-2-Oxo-1-Oxacyclooctatriaconta-23,25,27,29,31,33,35-Heptaene-19-Carboxylic Acid; (23E,25E,27E,29E,31E,33E,35E)-22-[(4-Amino-3,5-Dihydroxy-6-Methyl-2-Tetrahydropyranyl)Oxy]-4,6,8,10,12,14,16,18,20-Nonahydroxy-38-[1-Hydroxy-3-(4-Methylaminophenyl)-3-Oxopropyl]-2-Oxo-1-Oxacyclooctatriaconta-23,25,27,29,31,33,35-Heptaene-19-Carboxylic Acid; (23E,25E,27E,29E,31E,33E,35E)-22-(4-Amino-3,5-Dihydroxy-6-Methyl-Tetrahydropyran-2-Yl)Oxy-4,6,8,10,12,14,16,18,20-Nonahydroxy-38-[1-Hydroxy-3-Keto-3-(4-Methylaminophenyl)Propyl]-2-Keto-1-Oxacyclooctatriaconta-23,25,27,29,31,33,35-Heptaene-19-Carboxylic Acid
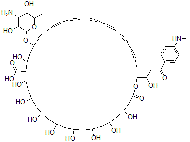
分子结构 CAS 登录号:61912-76-3, Lucknomycin
分子式 C54H80N2O19
分子量 1061.23
CAS 登录号 61912-76-3
分子行输入简码 SMILES C3=C(C(=O)CC(O)C2OC(=O)CC(O)CC(O)CC(O)CC(O)CC(O)CC(O)CC(O)CC(O)C(C(O)CC(OC1OC(C(O)C(N)C1O)C)\C=C\C=C\C=C\C=C\C=C\C=C\C=C\C2)C(=O)O)C=CC(=C3)NC
国际化学标识码 InChI 1S/C54H80N2O19/c1-32-51(69)50(55)52(70)54(73-32)74-42-16-14-12-10-8-6-4-3-5-7-9-11-13-15-17-47(44(65)31-43(64)33-18-20-34(56-2)21-19-33)75-48(68)29-41(63)27-39(61)25-37(59)23-35(57)22-36(58)24-38(60)26-40(62)28-45(66)49(53(71)72)46(67)30-42/h3-16,18-21,32,35-42,44-47,49-52,54,56-63,65-67,69-70H,17,22-31,55H2,1-2H3,(H,71,72)/b4-3+,7-5+,8-6+,11-9+,12-10+,15-13+,16-14+
国际化学标识检索码 InChIKey UOGLHBMJXYMOSU-BKCCTOCRSA-N
市场分析报告
请浏览Lucknomycin市场分析报告总目录
相关产品
2-脱氧肌糖  3beta,4alpha,5beta,6alpha...  (1R-反式)-3-(2,2-二氯乙烯基)-2,2...  二乙基[2-(5-乙基六氢-2,4,6-三氧代-5...  5,6,6a,7-四氢-6-甲基-4H-二苯并[d...  乙二胺四乙酸二钠铜盐  1-丁基螺戊烷  坚固大红 R 盐  2-(1-环己-3-烯基)-5,5-二乙基-1,3...  2-环丙基-2,4,5-三甲基-1,3-二氧戊环  4-异丙基-2,2,5,5-四甲基-1,3-二恶烷  5-胆甾烯-3beta-醇 3-(2'-乙基己基碳...  4,4'-(溴苯乙烯亚基)二(苯酚)二乙酸酯  青霉素 Bt  1-戊烯-2-醇