Online Database of Chemicals from Around the World

19-脱氧-15-氯伽氏矢车菊素
[CAS# 62462-98-0]

供应商
Interbioscreen Ltd. 俄罗斯 询价快递  
+7 (49) 6524-0091
screen@ibscreen.chg.ru
化学品生产商
基本信息
产品名称 19-脱氧-15-氯伽氏矢车菊素
英文名 19-Deoxy-15-Chlorojanerin
别名 [(3Ar,4S,6Ar,8S,9S,9As,9Bs)-9-(Chloromethyl)-8,9-Dihydroxy-3,6-Dimethylene-2-Oxo-3A,4,5,6A,7,8,9A,9B-Octahydroazuleno[4,5-B]Furan-4-Yl] 2-Methylprop-2-Enoate; 2-Methylprop-2-Enoic Acid [(3Ar,4S,6Ar,8S,9S,9As,9Bs)-9-(Chloromethyl)-8,9-Dihydroxy-3,6-Dimethylene-2-Oxo-3A,4,5,6A,7,8,9A,9B-Octahydroazuleno[4,5-B]Furan-4-Yl] Ester; 2-Methylacrylic Acid [(3Ar,4S,6Ar,8S,9S,9As,9Bs)-9-(Chloromethyl)-8,9-Dihydroxy-2-Keto-3,6-Dimethylene-3A,4,5,6A,7,8,9A,9B-Octahydroazuleno[5,4-D]Furan-4-Yl] Ester
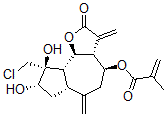
分子结构 CAS 登录号:62462-98-0, 19-脱氧-15-氯伽氏矢车菊素
分子式 C19H23ClO6
分子量 382.84
CAS 登录号 62462-98-0
分子行输入简码 SMILES [C@@H]23[C@@H]1[C@H](C(=C)C(O1)=O)[C@@H](OC(C(=C)C)=O)CC([C@@H]2C[C@@H]([C@]3(O)CCl)O)=C
国际化学标识码 InChI 1S/C19H23ClO6/c1-8(2)17(22)25-12-5-9(3)11-6-13(21)19(24,7-20)15(11)16-14(12)10(4)18(23)26-16/h11-16,21,24H,1,3-7H2,2H3/t11-,12-,13-,14+,15-,16-,19+/m0/s1
国际化学标识检索码 InChIKey ONMAQPPVCANFPB-URUZQALBSA-N
物理化学性质
密度 1.336g/cm3 (计算值)
沸点 552.321°C at 760 mmHg (计算值)
闪点 287.833°C (计算值)
市场分析报告
请浏览19-脱氧-15-氯伽氏矢车菊素市场分析报告总目录
相关产品
2-羟基-1,7,7-三甲基双环[2.2.1]庚烷...  8beta,14beta-环氧-3beta-羟基-...  比平多甙  1,3,7,9-四氯二苯并对二恶英  1,2,8,9-四氯二苯并对二恶英  [2-(二乙基氨基)乙基]二甲基[2-[(2-甲基...  N6-(1-氧代十四烷基)-L-赖氨酸  2'-脱氧-7,8-二氢-8-氧代腺苷  媒介棕 4  4-[[4-(乙酰氨基)苯基]氨基]-1-氨基-9...  1-氨基-9,10-二氢-4-[(4-甲基-2-磺...  替尼沙秦  替尼沙秦马来酸盐  2-磺酸基苯甲酸氢钾  蒽并[2,1,9-mna]苯并[6,7]吲唑并[2...