基本信息
| 产品名称 |
N,N'-二(4-十二烷基苄基)乙烷二硫代酰胺 |
| 英文名 |
N,N'-Bis(4-Dodecylbenzyl)Ethanebisthioamide |
| 别名 |
N,N'-Bis(4-Laurylbenzyl)Ethanedithioamide; N,N'-Bis(P-Dodecylbenzyl) Dithiooxamide; Oxamide, N,N'-Bis(P-Dodecylbenzyl)Dithio- |
|
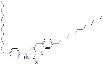
| 分子结构 |
 |
| 分子式 |
C40H64N2S2 |
| 分子量 |
637.08 |
| CAS 登录号 |
63867-40-3 |
| 分子行输入简码 SMILES |
C1=C(C=CC(=C1)CCCCCCCCCCCC)CNC(C(NCC2=CC=C(C=C2)CCCCCCCCCCCC)=S)=S |
| 国际化学标识码 InChI |
1S/C40H64N2S2/c1-3-5-7-9-11-13-15-17-19-21-23-35-25-29-37(30-26-35)33-41-39(43)40(44)42-34-38-31-27-36(28-32-38)24-22-20-18-16-14-12-10-8-6-4-2/h25-32H,3-24,33-34H2,1-2H3,(H,41,43)(H,42,44) |
| 国际化学标识检索码 InChIKey |
QMZGALBWYQBALG-UHFFFAOYSA-N |
|