Online Database of Chemicals from Around the World

3-[(2-己烯基)氧基亚氨基甲基]利福霉素
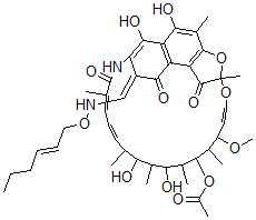
[CAS# 63950-95-8]

供应商
CAS#: 63950-95-8
产品: 3-[(2-己烯基)氧基亚氨基甲基]利福霉素
暂时没有厂家供应该产品。
基本信息
产品名称 3-[(2-己烯基)氧基亚氨基甲基]利福霉素
英文名 3-[(2-Hexenyl)Oxyiminomethyl]Rifamycin
别名 3-Formylrifamycin Sv O-(Hex-2-Enyl)Oxime
分子结构 CAS 登录号:63950-95-8, 3-[(2-己烯基)氧基亚氨基甲基]利福霉素
分子式 C44H58N2O13
分子量 822.95
CAS 登录号 63950-95-8
分子行输入简码 SMILES C(ON/C=C2/C(=O)C1=C3C(=C(C4=C1C(=O)C(O/C=C/C(OC)C(C(OC(=O)C)C(C(O)C(C(O)C(C)\C=C\C=C(C(=O)NC2=C3O)\C)C)C)C)(O4)C)C)O)\C=C\CCC
国际化学标识码 InChI 1S/C44H58N2O13/c1-11-12-13-14-19-57-45-21-29-34-39(52)32-31(38(29)51)33-41(27(7)37(32)50)59-44(9,42(33)53)56-20-18-30(55-10)24(4)40(58-28(8)47)26(6)36(49)25(5)35(48)22(2)16-15-17-23(3)43(54)46-34/h13-18,20-22,24-26,30,35-36,40,45,48-50,52H,11-12,19H2,1-10H3,(H,46,54)/b14-13+,16-15+,20-18+,23-17-,29-21+
国际化学标识检索码 InChIKey YIFKSKYKFRMKDN-BKHCPBFDSA-N
市场分析报告
请浏览3-[(2-己烯基)氧基亚氨基甲基]利福霉素市场分析报告总目录
相关产品
1-苯基-2-氨基戊烷  3-[1-(4-氨基苯乙基)-3-丙基-3-吡咯烷...  N,N-二[2-(环氧乙烷基甲氧基)乙氧基]苯胺  4-硝基-2,6-二[羟基汞(II)]苯胺  4-[(3-氯对甲苯基)偶氮]-N,N-二甲基苯胺  N,N,N,N',N',N'-六甲基十四烷-1,1...  2,4-二甲基-2-(羟基甲基)戊二醛  萘磺酸钠盐与甲醛和 4,4-磺酰基二苯酚的聚合物  2-乙烯基吡啶与二苯乙烯和乙烯基乙基苯的聚合物  5-羟基-2,7-二甲基-2-(4-甲基戊-3-烯...  3,5-二氟水杨醛  二(4-硝基苯基)甲基膦酸酯  5-叔-丁基-2-呋喃甲酰胺  2-呋喃基氨基甲酸叔-戊基酯  2-呋喃基氨基甲酸正丙基酯