Online Database of Chemicals from Around the World

甲状旁腺激素 (24-48)
[CAS# 64717-18-6]

供应商
CAS#: 64717-18-6
产品: 甲状旁腺激素 (24-48)
暂时没有厂家供应该产品。
基本信息
产品名称 甲状旁腺激素 (24-48)
英文名 Parathyroid Hormone (24-48)
别名 Parathyroid Hormone (24-48); Pth (24-48)
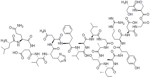
分子结构 CAS 登录号:64717-18-6, 甲状旁腺激素 (24-48)
分子式 C97H150N28O32
分子量 2220.42
CAS 登录号 64717-18-6
分子行输入简码 SMILES [C@H](C(=O)OC(CNC([C@@H](NC([C@@H](NC([C@@H](NC([C@@H](NC([C@@H](NC([C@@H](NC([C@@H](NC(CNC([C@@H](NC([C@@H](NC([C@@H](NC([C@@H](NC([C@@H](NC([C@@H](NC([C@@H](NC([C@@H](NC([C@@H](NC([C@@H](N)CC(C)C)=O)CCC(=O)N)=O)CC(=O)O)=O)C(C)C)=O)CC1C=NC=N1)=O)CC(=O)N)=O)CC2=CC=CC=C2)=O)C(C)C)=O)C)=O)CC(C)C)=O)=O)C)=O)CO)=O)[C@H](CC)C)=O)C)=O)CC3=CC=C(O)C=C3)=O)CCCNC(=N)N)=O)CC(=O)O)=O)=O)(NC([C@@H](N)CO)=O)CO
国际化学标识码 InChI 1S/C97H150N28O32/c1-14-48(10)77(95(155)111-51(13)80(140)115-61(32-53-22-24-55(129)25-23-53)87(147)113-58(21-18-28-105-97(102)103)85(145)118-65(35-72(133)134)84(144)107-39-74(137)157-96(156)68(42-128)122-82(142)57(99)40-126)125-92(152)67(41-127)121-78(138)49(11)109-71(132)38-106-83(143)60(30-45(4)5)114-79(139)50(12)110-93(153)75(46(6)7)123-90(150)62(31-52-19-16-15-17-20-52)116-89(149)64(34-70(101)131)117-88(148)63(33-54-37-104-43-108-54)120-94(154)76(47(8)9)124-91(151)66(36-73(135)136)119-86(146)59(26-27-69(100)130)112-81(141)56(98)29-44(2)3/h15-17,19-20,22-25,37,43-51,54,56-68,75-77,126-129H,14,18,21,26-36,38-42,98-99H2,1-13H3,(H2,100,130)(H2,101,131)(H,106,143)(H,107,144)(H,109,132)(H,110,153)(H,111,155)(H,112,141)(H,113,147)(H,114,139)(H,115,140)(H,116,149)(H,117,148)(H,118,145)(H,119,146)(H,120,154)(H,121,138)(H,122,142)(H,123,150)(H,124,151)(H,125,152)(H,133,134)(H,135,136)(H4,102,103,105)/t48-,49-,50-,51-,54?,56-,57-,58-,59-,60-,61-,62-,63-,64-,65-,66-,67-,68-,75-,76-,77-/m0/s1
国际化学标识检索码 InChIKey ZSRRDPXIMKJGKD-NPKGEECZSA-N
市场分析报告
请浏览甲状旁腺激素 (24-48)市场分析报告总目录
相关产品
7-氨基-5-苯基-2,3-二(苯基氨基)吩嗪鎓氯...  1,3-苯并二氧戊环-5-基甲基特戊酸酯  五氢氧化二碳酸铝镁  5-甲基-2-[2-[[5-苯基-3-(3-磺酸基...  Corymine  1-乙酰氧基-2-乙酰氨基芴  顺式-双环[4.2.1]壬-2,4-二烯-9-醇  3-甲氧基对氨基苯磺酸  异杆孢菌素 E  16,17-二乙氧基紫蒽-5,10-二酮  9-顺式-番茄红素  1,4-二(2-吡啶基)哌嗪  4-3,5-二(3-氨基-4-硝基苯基)偶氮-2,...  2,4-二[[2,6-二羟基-3-[(4-硝基苯基...  alpha-(羟基甲基)-4-(2-甲基丙基)-苯...