Online Database of Chemicals from Around the World

辅酶 alpha-谷胱甘肽混合物二硫化物
[CAS# 6477-52-7]

供应商
CAS#: 6477-52-7
产品: 辅酶 alpha-谷胱甘肽混合物二硫化物
暂时没有厂家供应该产品。
基本信息
产品名称 辅酶 alpha-谷胱甘肽混合物二硫化物
英文名 Coenzyme alpha-Glutathione Mixed Disulfide
别名 (2S)-2-Amino-5-[[(1R)-1-[2-[3-[[4-[[[(2R,3S,4R,5R)-5-(6-Aminopurin-9-Yl)-4-Hydroxy-3-Phosphonooxy-Tetrahydrofuran-2-Yl]Methoxy-Hydroxy-Phosphoryl]Oxy-Hydroxy-Phosphoryl]Oxy-2-Hydroxy-3,3-Dimethyl-Butanoyl]Amino]Propanoylamino]Ethyldisulfanylmethyl]-2-(Carboxymethylamino)-2-Oxo-Ethyl]Amino]-5-Oxo-Pentanoic Acid; (2S)-2-Amino-5-[[(1R)-1-[2-[[3-[[4-[[[(2R,3S,4R,5R)-5-(6-Amino-9-Purinyl)-4-Hydroxy-3-Phosphonooxy-2-Tetrahydrofuranyl]Methoxy-Hydroxyphosphoryl]Oxy-Hydroxyphosphoryl]Oxy-2-Hydroxy-3,3-Dimethyl-1-Oxobutyl]Amino]-1-Oxopropyl]Amino]Ethyldisulfanylmethyl]-2-(Carboxymethylamino)-2-Oxoethyl]Amino]-5-Oxopentanoic Acid; 2-[[(2R)-2-[[(4S)-4-Amino-5-Hydroxy-5-Keto-Pentanoyl]Amino]-3-[2-[3-[[4-[[[(2R,3S,4R,5R)-5-(6-Aminopurin-9-Yl)-4-Hydroxy-3-Phosphonooxy-Tetrahydrofuran-2-Yl]Methoxy-Hydroxy-Phosphoryl]Oxy-Hydroxy-Phosphoryl]Oxy-2-Hydroxy-3,3-Dimethyl-Butanoyl]Amino]Propanoylamino]Ethyldisulfanyl]Propanoyl]Amino]Acetic Acid
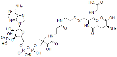
分子结构 CAS 登录号:6477-52-7, 辅酶 alpha-谷胱甘肽混合物二硫化物
分子式 C31H51N10O22P3S2
分子量 1072.84
CAS 登录号 6477-52-7
分子行输入简码 SMILES [C@H]1(O[P](O)(O)=O)[C@@H](O)[C@@H](O[C@@H]1CO[P](O[P](OCC(C(O)C(=O)NCCC(=O)NCCSSC[C@H](NC(=O)CC[C@H](N)C(O)=O)C(=O)NCC(O)=O)(C)C)(O)=O)(O)=O)[N]3C2=NC=NC(=C2N=C3)N
国际化学标识码 InChI 1S/C31H51N10O22P3S2/c1-31(2,24(47)28(49)35-6-5-18(42)34-7-8-67-68-11-16(27(48)36-9-20(44)45)40-19(43)4-3-15(32)30(50)51)12-60-66(57,58)63-65(55,56)59-10-17-23(62-64(52,53)54)22(46)29(61-17)41-14-39-21-25(33)37-13-38-26(21)41/h13-17,22-24,29,46-47H,3-12,32H2,1-2H3,(H,34,42)(H,35,49)(H,36,48)(H,40,43)(H,44,45)(H,50,51)(H,55,56)(H,57,58)(H2,33,37,38)(H2,52,53,54)/t15-,16-,17+,22+,23+,24?,29+/m0/s1
国际化学标识检索码 InChIKey JYKWMJBUIXNJOG-JHKACSFWSA-N
物理化学性质
密度 1.914g/cm3 (计算值)
市场分析报告
请浏览辅酶 alpha-谷胱甘肽混合物二硫化物市场分析报告总目录
相关产品
(3Z,5Z)-7-[(1R)-2beta-[(E...  二苦味酸铅  伊咯必利  1-氯-3-巯基-2-丙醇  麦角甾-5-烯-3,7-二醇  乙酰基(十八烷氧基)羰基过氧化物  2-羟基阿朴吗啡  5,6,6a,7-四氢-6-丙基-4H-二苯并(d...  焦谷氨酰-组氨酰-哌啶-2-羧酸甲酯  3-[3-(1H-咪唑-5-基)-2-[(6-氧代...  二氟-1,3-丁二炔  1,5,5,5-四氟-1,3-戊二炔  苯丙氨酰(2)-脯氨酰(3)-苯丙氨酰(6)-黄体...  2,3,6-三甲基-吡嗪并[2,3-b]吡嗪  2,3,6,7-四甲基-吡嗪并(2,3-b)吡嗪