Online Database of Chemicals from Around the World

烟草野火病菌氨酸 beta-内酰胺
[CAS# 65709-93-5]

供应商
CAS#: 65709-93-5
产品: 烟草野火病菌氨酸 beta-内酰胺
暂时没有厂家供应该产品。
基本信息
产品名称 烟草野火病菌氨酸 beta-内酰胺
英文名 Tabtoxinine beta-Lactam
别名 2-Amino-4-(3-Hydroxy-2-Oxo-Azetidin-3-Yl)Butanoic Acid; 2-Amino-4-(3-Hydroxy-2-Oxo-3-Azetidinyl)Butanoic Acid; 2-Amino-4-(3-Hydroxy-2-Keto-Azetidin-3-Yl)Butyric Acid
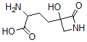
分子结构 CAS 登录号:65709-93-5, 烟草野火病菌氨酸 beta-内酰胺
分子式 C7H12N2O4
分子量 188.18
CAS 登录号 65709-93-5
分子行输入简码 SMILES C(C(C(=O)O)N)CC1(C(NC1)=O)O
国际化学标识码 InChI 1S/C7H12N2O4/c8-4(5(10)11)1-2-7(13)3-9-6(7)12/h4,13H,1-3,8H2,(H,9,12)(H,10,11)
国际化学标识检索码 InChIKey BSUXZTMOMIFYBF-UHFFFAOYSA-N
物理化学性质
密度 1.468g/cm3 (计算值)
沸点 525.162°C at 760 mmHg (计算值)
闪点 271.409°C (计算值)
市场分析报告
请浏览烟草野火病菌氨酸 beta-内酰胺市场分析报告总目录
相关产品
5,6-二氢-6-甲氧基-2H-吡喃-3(4H)-...  2,3-环十二烯并吡啶  (4aR)-2,3,4,4alpha-四氢-5,6...  2,3,4,4alpha-四氢-5,8,10-三羟...  2,3-甲桥-1,2,3,4-四氢萘  十一联异戊烯二磷酸酯-N-乙酰基胞壁酸-(5-二甲...  N-(2,6-二异丙基苯基-氨基甲酰甲基)亚胺二乙...  N-(2,4,6-三甲基苯基氨基甲酰甲基)亚氨基-...  N-乙酰基多巴胺苯醌  (3R,4S)-6,8-二羟基-3,4,5-三甲基...  1,2,3,4,5,10B-六氢吡啶并(2,3-g...  4,6-二(丁基氨基)-S-三嗪-2-醇  肌氨酸甲酚红  2-[4-[4-(三氟甲基)苯氧基]苯氧基]丙酸甲...  2,2,6,6-四甲基哌啶-4-羧酸盐酸盐