Online Database of Chemicals from Around the World

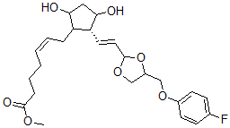
(Z)-7-[(1R)-3alpha,5alpha-二羟基-2beta-[(E)-2-[2-[(4-氟苯氧基)甲基]-1,3-二氧戊环-2-基]乙烯基]环戊烷-1alpha-基]-5-庚烯酸甲酯
[CAS# 66176-11-2]

供应商
CAS#: 66176-11-2
产品: (Z)-7-[(1R)-3alpha,5alpha-二羟基-2beta-[(E)-2-[2-[(4-氟苯氧基)甲基]-1,3-二氧戊环-2-基]乙烯基]环戊烷-1alpha-基]-5-庚烯酸甲酯
暂时没有厂家供应该产品。
基本信息
产品名称 (Z)-7-[(1R)-3alpha,5alpha-二羟基-2beta-[(E)-2-[2-[(4-氟苯氧基)甲基]-1,3-二氧戊环-2-基]乙烯基]环戊烷-1alpha-基]-5-庚烯酸甲酯
英文名 (Z)-7-[(1R)-3alpha,5alpha-Dihydroxy-2beta-[(E)-2-[2-[(4-Fluorophenoxy)Methyl]-1,3-Dioxolan-2-Yl]Ethenyl]Cyclopentan-1alpha-Yl]-5-Heptenoic Acid Methyl Ester
别名 Methyl (Z)-7-[(2R)-2-[(E)-2-[4-[(4-Fluorophenoxy)Methyl]-1,3-Dioxolan-2-Yl]Vinyl]-3,5-Dihydroxy-Cyclopentyl]Hept-5-Enoate; (Z)-7-[(2R)-2-[(E)-2-[4-[(4-Fluorophenoxy)Methyl]-1,3-Dioxolan-2-Yl]Vinyl]-3,5-Dihydroxycyclopentyl]Hept-5-Enoic Acid Methyl Ester; (Z)-7-[(2R)-2-[(E)-2-[4-[(4-Fluorophenoxy)Methyl]-1,3-Dioxolan-2-Yl]Vinyl]-3,5-Dihydroxy-Cyclopentyl]Hept-5-Enoic Acid Methyl Ester
分子结构 CAS 登录号:66176-11-2, (Z)-7-[(1R)-3alpha,5alpha-二羟基-2beta-[(E)-2-[2-[(4-氟苯氧基)甲基]-1,3-二氧戊环-2-基]乙烯基]环戊烷-1alpha-基]-5-庚烯酸甲酯
分子式 C25H33FO7
分子量 464.53
CAS 登录号 66176-11-2
分子行输入简码 SMILES [C@H]1(C(C(O)CC1O)C\C=C/CCCC(OC)=O)\C=C\C2OC(CO2)COC3=CC=C(F)C=C3
国际化学标识码 InChI 1S/C25H33FO7/c1-30-24(29)7-5-3-2-4-6-20-21(23(28)14-22(20)27)12-13-25-32-16-19(33-25)15-31-18-10-8-17(26)9-11-18/h2,4,8-13,19-23,25,27-28H,3,5-7,14-16H2,1H3/b4-2-,13-12+/t19?,20?,21-,22?,23?,25?/m1/s1
国际化学标识检索码 InChIKey MSRNJRNIYGVKLL-GITKWCOHSA-N
物理化学性质
密度 1.275g/cm3 (计算值)
沸点 573.501°C at 760 mmHg (计算值)
闪点 300.643°C (计算值)
市场分析报告
请浏览(Z)-7-[(1R)-3alpha,5alpha-二羟基-2beta-[(E)-2-[2-[(4-氟苯氧基)甲基]-1,3-二氧戊环-2-基]乙烯基]环戊烷-1alpha-基]-5-庚烯酸甲酯市场分析报告总目录
相关产品
(Z)-7-[(1R)-3alpha,5alpha...  5-(4-甲氧基苯基)海因  (E)-1-丙烯基原乙酸二甲酯  (E,E)二-1-丙烯基甲基原乙酸酯  三氟甲烷磺酸-D  5-M-甲苯氧基甲基-[1,3,4]恶二唑-2-硫...  苄氧羰基亮氨酰-氧肟酸  5-甲基-3,8-二硝基-6-苯基菲啶鎓溴化物  三丙基铅  4-丁基-1-苯基-2-(4-苯基-1,3-噻唑-...  1,4,5,8-四(苯基氨基)蒽醌  2-(N,N-二丙基)氨基-6,7-二羟基四氢萘  N,N-二-N-丙基多巴胺  4-甲基伞形酮月桂酸酯  1,2-二氢-1,2,4-三甲基-3H-吡唑-3-...