Online Database of Chemicals from Around the World

1,1'-[2-[[(2-氨基乙氧基)羟基亚膦酰]氧基]-1,3-丙烷二基]十六烷酸酯
[CAS# 67303-93-9]

供应商
Alfa Chemistry 美国 询价快递  
+1 (201) 478-8534
inquiry@alfa-chemistry.com
化学品供销商(2012 年起)
chemBlink 标准供应商(2012 年起)
BOC Sciences 美国 询价快递  
+1 (631) 485-4226
info@bocsci.com
Skype 聊天
化学品供销商
chemBlink 集群供应商(2012 年起)
International Laboratory Limited 美国 询价快递  
+1 (650) 278-9963
admin@intlab.org
化学品生产商(2002 年起)
基本信息
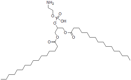
产品名称 1,1'-[2-[[(2-氨基乙氧基)羟基亚膦酰]氧基]-1,3-丙烷二基]十六烷酸酯
英文名 Hexadecanoic Acid 1,1'-[2-[[(2-Aminoethoxy)Hydroxyphosphinyl]Oxy]-1,3-Propanediyl] Ester
别名 1,3-DIPALMITOYL-GLYCERO-2-PHOSPHOETHANOLAMINE
分子结构 CAS 登录号:67303-93-9, 1,1'-[2-[[(2-氨基乙氧基)羟基亚膦酰]氧基]-1,3-丙烷二基]十六烷酸酯
分子式 C37H74NO8P
分子量 691.96
CAS 登录号 67303-93-9
分子行输入简码 SMILES NCCOP(=O)(OC(COC(=O)CCCCCCCCCCCCCCC)COC(=O)CCCCCCCCCCCCCCC)O
国际化学标识码 InChI 1S/C37H74NO8P/c1-3-5-7-9-11-13-15-17-19-21-23-25-27-29-36(39)43-33-35(46-47(41,42)45-32-31-38)34-44-37(40)30-28-26-24-22-20-18-16-14-12-10-8-6-4-2/h35H,3-34,38H2,1-2H3,(H,41,42)
安全数据
SDS 化学品安全技术说明书参考文本
市场分析报告
请浏览1,1'-[2-[[(2-氨基乙氧基)羟基亚膦酰]氧基]-1,3-丙烷二基]十六烷酸酯市场分析报告总目录
相关产品
(17b)-17-羟基-雄甾-4-烯-3-酮-1,...  1-(5-羟基-2-吡啶基)-乙酮  1-叠氮基-4-氟-2-硝基-苯  (2S)-2,3-二(十六烷氧基)-1-丙醇  乙酸酐-T3  甘氨酰-脯氨酰-7-甲氧基香豆素基对甲苯磺酸盐  7-甲基-1H-苯并咪唑-2-羧酸  N-(苯基甲基)-L-天冬氨酸  二(2,4-戊烷二酮)-钴二水合物  N-(2-氯-3-苯并呋喃基)-乙酰胺  4-羟基-2-甲基-5-嘧啶羧酸乙酯  2-甲基-4-嘧啶醇  D-丙氨酰-D-亮氨酸  N,N'-1,2-乙烷二基二[N-(羧甲基)-甘氨...  2-氧代-1-吡咯烷丁酸甲酯