基本信息
| 产品名称 |
7,18-二己基-1,4-二氧杂-7,18-二氮杂环二十烷-6,19-二酮 |
| 英文名 |
7,18-Dihexyl-1,4-dioxa-7,18-diazacycloicosane-6,19-dione |
| 别名 |
7,18-Dihexyl-1,4-dioxa-7,18-diazacycloicosane-6,19-dione #; N,N'-Dihexyl-4,7-dioxa-1,10-diazacycloeicosan-2,9-dione |
|
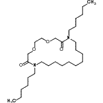
| 分子结构 |
 |
| 分子式 |
C28H54N2O4 |
| 分子量 |
482.74 |
| CAS 登录号 |
67456-25-1 |
| 分子行输入简码 SMILES |
O=C1N(CCCCCC)CCCCCCCCCCN(C(=O)COCCOC1)CCCCCC |
| 国际化学标识码 InChI |
1S/C28H54N2O4/c1-3-5-7-15-19-29-21-17-13-11-9-10-12-14-18-22-30(20-16-8-6-4-2)28(32)26-34-24-23-33-25-27(29)31/h3-26H2,1-2H3 |
| 国际化学标识检索码 InChIKey |
FTMQIUPEUVWMPI-UHFFFAOYSA-N |
|