Online Database of Chemicals from Around the World

2-(羟基甲基)-2-[(棕榈酰氧基)甲基]丁基棕榈酸酯
[CAS# 68818-56-4]

供应商
CAS#: 68818-56-4
产品: 2-(羟基甲基)-2-[(棕榈酰氧基)甲基]丁基棕榈酸酯
暂时没有厂家供应该产品。
基本信息
产品名称 2-(羟基甲基)-2-[(棕榈酰氧基)甲基]丁基棕榈酸酯
英文名 2-(Hydroxymethyl)-2-[(palmitoyloxy)methyl]butyl palmitate
别名 2-ethyl-2-(hydroxymethyl)propane-1,3-diyl palmitate
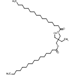
分子结构 CAS 登录号:68818-56-4, 2-(羟基甲基)-2-[(棕榈酰氧基)甲基]丁基棕榈酸酯
分子式 C38H74O5
分子量 610.99
CAS 登录号 68818-56-4
EINECS 登录号 272-398-6
分子行输入简码 SMILES O=C(OCC(COC(=O)CCCCCCCCCCCCCCC)(CO)CC)CCCCCCCCCCCCCCC
国际化学标识码 InChI 1S/C38H74O5/c1-4-7-9-11-13-15-17-19-21-23-25-27-29-31-36(40)42-34-38(6-3,33-39)35-43-37(41)32-30-28-26-24-22-20-18-16-14-12-10-8-5-2/h39H,4-35H2,1-3H3
国际化学标识检索码 InChIKey AEFIQWRWYCOYPW-UHFFFAOYSA-N
物理化学性质
密度 0.925g/cm3 (计算值)
沸点 636.627°C at 760 mmHg (计算值)
闪点 174.157°C (计算值)
市场分析报告
请浏览2-(羟基甲基)-2-[(棕榈酰氧基)甲基]丁基棕榈酸酯市场分析报告总目录
相关产品
[2-(羟基甲基)-3-十四碳酰氧基-2-(十四碳...  3-羟基-2,2-二[(棕榈酰氧基)甲基]丙基棕榈...  7,8-二氢[1,3]二氧杂环戊并[4,5-g]异...  (3R,4R)-3-乙基-1,1-二(甲氧基甲基)...  1-(1-乙基-4,5-二氢-1H-咪唑-2-基)...  1-[2-(4-甲氧基苯基)乙基]-2-甲基肼  二苯基氨基硫代甲酸S-酸  (2R,3S,5R)-2,3,5-三甲基哌嗪  甲基3-(1H-吡唑-1-基)丙氨酸酯  3-苯基-3-氮杂环丁胺  4-(3-氮杂环丁基)硫代吗啉  N,2-二甲基-N-[2-(甲基氨基)乙基]丙烯酰...  1-乙基-1,3-二氢-2H-萘并[1,2-d]咪...  1-乙基-1,3-二氢-2H-咪唑并[4,5-f]...  乙基1-乙基-1H-吡咯并[3,2-c]吡啶-6-...