Online Database of Chemicals from Around the World

阿维霉素 A
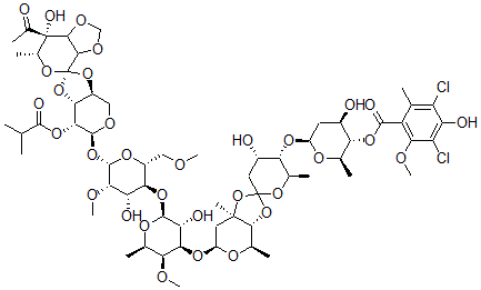
[CAS# 69787-79-7]

供应商
CAS#: 69787-79-7
产品: 阿维霉素 A
暂时没有厂家供应该产品。
基本信息
产品名称 阿维霉素 A
英文名 Avilamycin A
别名 Avilamycin A; D-Mannopyranoside, 4-C-Acetyl-6-Deoxy-2,3-O-Methylenehexopyranosylidene-(1-3-4)-2-O-(2-Methyl-1-Oxopropyl)-L-Lyxopyranosyl O-2,6-Dideoxy-4-O-(3,5-Dichloro-4-Hydroxy-2-Methoxy-6-Methylbenzoyl)-Beta-D-Arabino-Hexopyranosyl-(1-4)-O-2,6-Dideoxy-D-Ribo-Hexopyranosylidene-(1-3-4)-O-2,6-Dideoxy-3-C-Methyl-D-Arabino-Hexopyranosyl-(1-3)-O-6-Deoxy-4-O-Methyl-Beta-D-Galactopyranosyl-(1-4)-2,6-Di-O-Methyl-; Flambamycin, 23-Deoxy-
分子结构 CAS 登录号:69787-79-7, 阿维霉素 A
分子式 C61H88Cl2O32
分子量 1404.25
CAS 登录号 69787-79-7
分子行输入简码 SMILES [C@]1%10(O[C@@H]9[C@@H](O1)CO[C@@H](O[C@@H]8O[C@@H]([C@@H](O[C@@H]7O[C@@H]([C@H](OC)[C@H](O[C@@H]3O[C@@H]([C@H]2OC6(O[C@@]2(C3)C)O[C@@H]([C@@H](O[C@@H]5O[C@@H]([C@@H](OC(=O)C4=C(OC)C(=C(O)C(=C4C)Cl)Cl)[C@H](O)C5)C)[C@@H](O)C6)C)C)[C@H]7O)C)[C@H](O)[C@@H]8OC)COC)[C@@H]9OC(=O)C(C)C)O[C@@H]([C@](O)(C%11OCOC%10%11)C(=O)C)C
国际化学标识码 InChI 1S/C61H88Cl2O32/c1-21(2)53(70)87-49-45-32(92-61(93-45)52-51(78-20-79-52)60(72,27(8)64)28(9)91-61)19-77-56(49)89-57-48(76-14)39(68)44(31(83-57)18-73-11)88-55-40(69)47(43(74-12)24(5)82-55)85-34-17-58(10)50(26(7)81-34)94-59(95-58)16-30(66)42(25(6)90-59)84-33-15-29(65)41(23(4)80-33)86-54(71)35-22(3)36(62)38(67)37(63)46(35)75-13/h21,23-26,28-34,39-45,47-52,55-57,65-69,72H,15-20H2,1-14H3/t23-,24-,25-,26-,28-,29-,30+,31-,32+,33+,34+,39+,40-,41-,42-,43+,44-,45-,47-,48+,49-,50-,51?,52?,55+,56+,57+,58-,59?,60+,61-/m1/s1
国际化学标识检索码 InChIKey XIRGHRXBGGPPKY-RTWAPUGOSA-N
物理化学性质
密度 1.503g/cm3 (计算值)
市场分析报告
请浏览阿维霉素 A市场分析报告总目录
相关产品
2-甲基丙酸 2-(1,1'-联苯-4-基)-2-...  N,N'-二(2-甲氧基苄基氨基己基)胱胺  5,6,7-三甲氧基-2-萘甲酸  3,4-二氢-5,6,7-三甲氧基-2-萘甲酸  N,N,-二甲基氯苯丁胺  1-甲基-5-(三氟甲基)-1H-四唑  3-羟基-3,4-二氢环戊烯并(cd)芘  二醋洛尔  5-苄氧基-3-(2-硝基乙烯基)-吲哚  4-甲基磺酰基-2,3',4',5-四氯联苯  4-甲基磺酰基-2,2',4',5-四氯联苯  N-(氨基羰基)-环丁烷甲酰胺  葚孢菌素 J  4-氯-7-(3,5-二氯-2,4-二甲氧基-6-...  19-氧代-3beta,5,14-三羟基-5bet...