Online Database of Chemicals from Around the World

Rifamycin Verde
[CAS# 72428-95-6]

供应商
CAS#: 72428-95-6
产品: Rifamycin Verde
暂时没有厂家供应该产品。
基本信息
产品名称 Rifamycin Verde
英文名 Rifamycin Verde
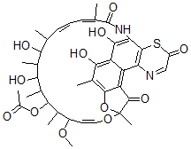
分子结构 CAS 登录号:72428-95-6, Rifamycin Verde
分子式 C39H46N2O12S
分子量 766.86
CAS 登录号 72428-95-6
分子行输入简码 SMILES CC25OC1=C(C(=C4C(=C1C2=O)C3=C(SC(=O)C=N3)C(=C4O)NC(=O)C(=C\C=C\C(C(O)C(C(O)C(C(OC(=O)C)C(C(OC)/C=C/O5)C)C)C)C)/C)O)C
国际化学标识码 InChI 1S/C39H46N2O12S/c1-16-11-10-12-17(2)38(49)41-29-33(47)26-25(28-36(29)54-24(43)15-40-28)27-35(21(6)32(26)46)53-39(8,37(27)48)51-14-13-23(50-9)18(3)34(52-22(7)42)20(5)31(45)19(4)30(16)44/h10-16,18-20,23,30-31,34,44-47H,1-9H3,(H,41,49)/b11-10+,14-13+,17-12-
国际化学标识检索码 InChIKey CIKJBUUPPXVFDE-AEZIOYLSSA-N
市场分析报告
请浏览Rifamycin Verde市场分析报告总目录
相关产品
(2E)-3,7-二甲基-N-苯基辛-2,6-二烯...  (3S)-3-[(1S)-2-氧代环戊基]庚酸甲酯  2-(丁氧基甲基)环氧乙烷;2-(氯甲基)环氧乙烷...  2-氨基-N-(2-二乙基氨基乙基)-4-甲氧基嘧...  3-(5-硝基-2H-吡唑-3-基)吡啶  1,3,7-三溴-9H-芴-2-胺  4-[(4-甲氧基苯甲酰基)氨基]丁酸  1,1,2,2,3,3,4,4,5,5,5-十一氟...  2-(4-氯苯基)硫基苯甲腈  6-[(苯基甲基)硫代]-1H-嘌呤  (5,6-二氯苯并三唑-1-基)-苯基甲酮  4-二乙氧基磷酰苯甲醛  2-(苯基甲基)环己烷-1-胺  4-氨基-3-(苯基甲硫基)噻吩并[5,4-c][...  甲基二巯基二硫基乙烷