Online Database of Chemicals from Around the World

N-[5-氨基-1-[(2-氨基-2-氧代乙基)氨基]-1-氧代戊烷-2-基]-1-[7-(2-氨基-2-氧代乙基)-10-(3-氨基-3-氧代丙基)-13-丁烷-2-基-16-[(4-甲氧基苯基)甲基]-20,20-二甲基-6,9,12,15,18-五氧代1,2-二硫杂-5,8,11,14,17-五氮杂环二十烷-4-羰基]吡咯烷-2-甲酰胺
[CAS# 72915-19-6]

供应商
CAS#: 72915-19-6
产品: N-[5-氨基-1-[(2-氨基-2-氧代乙基)氨基]-1-氧代戊烷-2-基]-1-[7-(2-氨基-2-氧代乙基)-10-(3-氨基-3-氧代丙基)-13-丁烷-2-基-16-[(4-甲氧基苯基)甲基]-20,20-二甲基-6,9,12,15,18-五氧代1,2-二硫杂-5,8,11,14,17-五氮杂环二十烷-4-羰基]吡咯烷-2-甲酰胺
暂时没有厂家供应该产品。
基本信息
产品名称 N-[5-氨基-1-[(2-氨基-2-氧代乙基)氨基]-1-氧代戊烷-2-基]-1-[7-(2-氨基-2-氧代乙基)-10-(3-氨基-3-氧代丙基)-13-丁烷-2-基-16-[(4-甲氧基苯基)甲基]-20,20-二甲基-6,9,12,15,18-五氧代1,2-二硫杂-5,8,11,14,17-五氮杂环二十烷-4-羰基]吡咯烷-2-甲酰胺
英文名 N-[5-Amino-1-[(2-Amino-2-Oxoethyl)Amino]-1-Oxopentan-2-Yl]-1-[7-(2-Amino-2-Oxoethyl)-10-(3-Amino-3-Oxopropyl)-13-Butan-2-Yl-16-[(4-Methoxyphenyl)Methyl]-20,20-Dimethyl-6,9,12,15,18-Pentaoxo1,2-Dithia-5,8,11,14,17-Pentazacycloicosane-4-Carbonyl]Pyrrolidine-2-Carboxamide
别名 N-[4-Amino-1-[(2-Amino-2-Oxo-Ethyl)Carbamoyl]Butyl]-1-[7-(2-Amino-2-Oxo-Ethyl)-10-(3-Amino-3-Oxo-Propyl)-16-[(4-Methoxyphenyl)Methyl]-20,20-Dimethyl-6,9,12,15,18-Pentaoxo-13-Sec-Butyl-1,2-Dithia-5,8,11,14,17-Pentazacycloicosane-4-Carbonyl]Pyrrolidine-2-Carboxamide; N-[4-Amino-1-[[(2-Amino-2-Oxoethyl)Amino]-Oxomethyl]Butyl]-1-[[7-(2-Amino-2-Oxoethyl)-10-(3-Amino-3-Oxopropyl)-16-[(4-Methoxyphenyl)Methyl]-20,20-Dimethyl-6,9,12,15,18-Pentaoxo-13-Sec-Butyl-1,2-Dithia-5,8,11,14,17-Pentazacycloicos-4-Yl]-Oxomethyl]-2-Pyrrolidinecarboxamide; N-[4-Amino-1-[(2-Amino-2-Keto-Ethyl)Carbamoyl]Butyl]-1-[7-(2-Amino-2-Keto-Ethyl)-10-(3-Amino-3-Keto-Propyl)-6,9,12,15,18-Pentaketo-16-(4-Methoxybenzyl)-20,20-Dimethyl-13-Sec-Butyl-1,2-Dithia-5,8,11,14,17-Pentazacycloicosane-4-Carbonyl]Pyrrolidine-2-Carboxamide
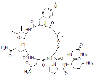
分子结构 CAS 登录号:72915-19-6, N-[5-氨基-1-[(2-氨基-2-氧代乙基)氨基]-1-氧代戊烷-2-基]-1-[7-(2-氨基-2-氧代乙基)-10-(3-氨基-3-氧代丙基)-13-丁烷-2-基-16-[(4-甲氧基苯基)甲基]-20,20-二甲基-6,9,12,15,18-五氧代1,2-二硫杂-5,8,11,14,17-五氮杂环二十烷-4-羰基]吡咯烷-2-甲酰胺
分子式 C45H70N12O12S2
分子量 1035.24
CAS 登录号 72915-19-6
分子行输入简码 SMILES C3=C(CC1NC(=O)CC(SSCC(NC(=O)C(NC(=O)C(NC(=O)C(NC1=O)C(CC)C)CCC(=O)N)CC(=O)N)C(=O)N2C(C(=O)NC(C(=O)NCC(=O)N)CCCN)CCC2)(C)C)C=CC(=C3)OC
国际化学标识码 InChI 1S/C45H70N12O12S2/c1-6-24(2)37-43(67)53-28(15-16-33(47)58)39(63)54-30(20-34(48)59)40(64)55-31(44(68)57-18-8-10-32(57)42(66)52-27(9-7-17-46)38(62)50-22-35(49)60)23-70-71-45(3,4)21-36(61)51-29(41(65)56-37)19-25-11-13-26(69-5)14-12-25/h11-14,24,27-32,37H,6-10,15-23,46H2,1-5H3,(H2,47,58)(H2,48,59)(H2,49,60)(H,50,62)(H,51,61)(H,52,66)(H,53,67)(H,54,63)(H,55,64)(H,56,65)
国际化学标识检索码 InChIKey RZDRLQFTCGODFV-UHFFFAOYSA-N
物理化学性质
密度 1.238g/cm3 (计算值)
沸点 1508.149°C at 760 mmHg (计算值)
闪点 865.897°C (计算值)
市场分析报告
请浏览N-[5-氨基-1-[(2-氨基-2-氧代乙基)氨基]-1-氧代戊烷-2-基]-1-[7-(2-氨基-2-氧代乙基)-10-(3-氨基-3-氧代丙基)-13-丁烷-2-基-16-[(4-甲氧基苯基)甲基]-20,20-二甲基-6,9,12,15,18-五氧代1,2-二硫杂-5,8,11,14,17-五氮杂环二十烷-4-羰基]吡咯烷-2-甲酰胺市场分析报告总目录
相关产品
1,2,3,7,8,9-六氯二苯并呋喃  2,3-二氯-1,4-二(甲基氨基)蒽-9,10-...  4,8-二氨基-2,3,6,7-四溴萘-1,5-二...  4,8-二氨基-2,3,6-三溴萘-1,5-二酮  ((1,1'-联苯)-4-基甲氧基)-胍  [(4,6-二甲基-间亚苯基)二亚甲基]二氨基甲酸...  2,2'-(3,5,5-三甲基己基亚基)二[4,6...  [(2R,3S,4R,5R,6S)-5-乙酰氨基-...  4,5-二氢-2-(2-甲氧基苯基)-1-[2-(...  腺苷5'-[氢[[羟基(膦酰氧基)亚膦酰]甲基]膦...  (1aalpha,2beta,6aalpha,6a...  N-(5-氨基-戊基)-苯邻二甲酰亚胺盐酸盐  5-[[3-甲基-5-氧代-1-(4-磺酸苯基)-...  (1E)-1-[[2-乙氧基-4-[[3-乙氧基-...  (4E)-4-[(2,5-二氯苯基)亚肼基]-N-...