Online Database of Chemicals from Around the World

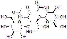
N-[(2S,3R,4R,5S,6R)-2-[(2R,3S,4R,5R)-5-乙酰氨基-1,2-二羟基-6-氧代-4-[(2R,3R,4S,5R,6R)-3,4,5-三羟基-6-(羟基甲基)四氢吡喃-2-基]氧基己烷-3-基]氧基-4,5-二羟基-6-(羟基甲基)四氢吡喃-3-基]乙酰胺
[CAS# 73499-58-8]

供应商
CAS#: 73499-58-8
产品: N-[(2S,3R,4R,5S,6R)-2-[(2R,3S,4R,5R)-5-乙酰氨基-1,2-二羟基-6-氧代-4-[(2R,3R,4S,5R,6R)-3,4,5-三羟基-6-(羟基甲基)四氢吡喃-2-基]氧基己烷-3-基]氧基-4,5-二羟基-6-(羟基甲基)四氢吡喃-3-基]乙酰胺
暂时没有厂家供应该产品。
基本信息
产品名称 N-[(2S,3R,4R,5S,6R)-2-[(2R,3S,4R,5R)-5-乙酰氨基-1,2-二羟基-6-氧代-4-[(2R,3R,4S,5R,6R)-3,4,5-三羟基-6-(羟基甲基)四氢吡喃-2-基]氧基己烷-3-基]氧基-4,5-二羟基-6-(羟基甲基)四氢吡喃-3-基]乙酰胺
英文名 N-[(2S,3R,4R,5S,6R)-2-[(2R,3S,4R,5R)-5-Acetamido-1,2-Dihydroxy-6-Oxo-4-[(2R,3R,4S,5R,6R)-3,4,5-Trihydroxy-6-(Hydroxymethyl)Oxan-2-Yl]Oxyhexan-3-Yl]Oxy-4,5-Dihydroxy-6-(Hydroxymethyl)Oxan-3-Yl]Acetamide
别名 N-[(2S,3R,4R,5S,6R)-2-[(1S,2R,3R)-3-Acetamido-1-[(1R)-1,2-Dihydroxyethyl]-4-Oxo-2-[(2R,3R,4S,5R,6R)-3,4,5-Trihydroxy-6-(Hydroxymethyl)Tetrahydropyran-2-Yl]Oxy-Butoxy]-4,5-Dihydroxy-6-(Hydroxymethyl)Tetrahydropyran-3-Yl]Acetamide; N-[(2S,3R,4R,5S,6R)-2-[(1S,2R,3R)-3-Acetamido-1-[(1R)-1,2-Dihydroxyethyl]-4-Oxo-2-[[(2R,3R,4S,5R,6R)-3,4,5-Trihydroxy-6-(Hydroxymethyl)-2-Tetrahydropyranyl]Oxy]Butoxy]-4,5-Dihydroxy-6-(Hydroxymethyl)-3-Tetrahydropyranyl]Acetamide; N-[(2S,3R,4R,5S,6R)-2-[(1S,2R,3R)-3-Acetamido-1-[(1R)-1,2-Dihydroxyethyl]-4-Keto-2-[(2R,3R,4S,5R,6R)-3,4,5-Trihydroxy-6-Methylol-Tetrahydropyran-2-Yl]Oxy-Butoxy]-4,5-Dihydroxy-6-Methylol-Tetrahydropyran-3-Yl]Acetamide
分子结构 CAS 登录号:73499-58-8, N-[(2S,3R,4R,5S,6R)-2-[(2R,3S,4R,5R)-5-乙酰氨基-1,2-二羟基-6-氧代-4-[(2R,3R,4S,5R,6R)-3,4,5-三羟基-6-(羟基甲基)四氢吡喃-2-基]氧基己烷-3-基]氧基-4,5-二羟基-6-(羟基甲基)四氢吡喃-3-基]乙酰胺
分子式 C22H38N2O16
分子量 586.55
CAS 登录号 73499-58-8
分子行输入简码 SMILES [C@H](C=O)([C@@H](O[C@H]1[C@H](O)[C@@H](O)[C@@H](O)[C@H](O1)CO)[C@@H](O[C@H]2[C@@H]([C@@H](O)[C@H](O)[C@H](O2)CO)NC(=O)C)[C@H](O)CO)NC(=O)C
国际化学标识码 InChI 1S/C22H38N2O16/c1-7(29)23-9(3-25)19(39-22-18(36)17(35)15(33)12(6-28)38-22)20(10(31)4-26)40-21-13(24-8(2)30)16(34)14(32)11(5-27)37-21/h3,9-22,26-28,31-36H,4-6H2,1-2H3,(H,23,29)(H,24,30)/t9-,10+,11+,12+,13+,14+,15-,16+,17-,18+,19+,20-,21-,22-/m0/s1
国际化学标识检索码 InChIKey ASGUPKXCDOJNJC-INXDIBGXSA-N
物理化学性质
密度 1.602g/cm3 (计算值)
沸点 1091.601°C at 760 mmHg (计算值)
闪点 613.978°C (计算值)
市场分析报告
请浏览N-[(2S,3R,4R,5S,6R)-2-[(2R,3S,4R,5R)-5-乙酰氨基-1,2-二羟基-6-氧代-4-[(2R,3R,4S,5R,6R)-3,4,5-三羟基-6-(羟基甲基)四氢吡喃-2-基]氧基己烷-3-基]氧基-4,5-二羟基-6-(羟基甲基)四氢吡喃-3-基]乙酰胺市场分析报告总目录
相关产品
4-[[4-(二甲基氨基)苯基]偶氮]-2,6-二...  3,20-别孕甾烷二酮  2,2,4,6-四氟-2,2,4,4,6,6-六氢...  2,4-二氟-2,2,4,4,6,6-六氢-2,4...  苯基巯基-苯基硫基硫代甲酰基二硫基甲烷硫酮  (3S,10R,13R,17R)-10,13-二甲...  2'-氟-2-甲基氨基-5-硝基二苯甲酮  (2E,4E)-己-2,4-二烯醛  1,4-二氢-9-异亚丙基-1,4-甲桥-萘  (E)-2,3-二甲基-4-[(1R)-2,6,6...  (4Z)-4-[[3-甲基-4-[[2-甲基-4-...  锌4-(1,2-二甲基吲唑-2-鎓-3-基)偶氮-...  3-己基苝  14-羟基石竹烯氧化物  四角霉素