Online Database of Chemicals from Around the World

N-[(6E)-3-(2-氨基-3,4,5,6-四氢嘧啶-4-基)-6-[(氨基甲酰氨基)亚甲基]-9,12-二(羟基甲基)-2,5,8,11,14-五氧代-1,4,7,10,13-五氮杂环十六烷-15-基]十六烷酰胺
[CAS# 74240-44-1]

供应商
CAS#: 74240-44-1
产品: N-[(6E)-3-(2-氨基-3,4,5,6-四氢嘧啶-4-基)-6-[(氨基甲酰氨基)亚甲基]-9,12-二(羟基甲基)-2,5,8,11,14-五氧代-1,4,7,10,13-五氮杂环十六烷-15-基]十六烷酰胺
暂时没有厂家供应该产品。
基本信息
产品名称 N-[(6E)-3-(2-氨基-3,4,5,6-四氢嘧啶-4-基)-6-[(氨基甲酰氨基)亚甲基]-9,12-二(羟基甲基)-2,5,8,11,14-五氧代-1,4,7,10,13-五氮杂环十六烷-15-基]十六烷酰胺
英文名 N-[(6E)-3-(2-Amino-3,4,5,6-Tetrahydropyrimidin-4-Yl)-6-[(Carbamoylamino)Methylidene]-9,12-Bis(Hydroxymethyl)-2,5,8,11,14-Pentaoxo-1,4,7,10,13-Pentazacyclohexadec-15-Yl]Hexadecanamide
别名 N-[(6E)-6-[(Aminocarbonylamino)Methylidene]-3-(2-Amino-3,4,5,6-Tetrahydropyrimidin-4-Yl)-9,12-Bis(Hydroxymethyl)-2,5,8,11,14-Pentaoxo-1,4,7,10,13-Pentazacyclohexadec-15-Yl]Hexadecanamide; N-[(6E)-3-(2-Amino-3,4,5,6-Tetrahydropyrimidin-4-Yl)-9,12-Bis(Hydroxymethyl)-2,5,8,11,14-Pentaoxo-6-(Ureidomethylene)-1,4,7,10,13-Pentazacyclohexadec-15-Yl]Hexadecanamide; N-[(6E)-3-(2-Amino-3,4,5,6-Tetrahydropyrimidin-4-Yl)-2,5,8,11,14-Pentaketo-9,12-Dimethylol-6-(Ureidomethylene)-1,4,7,10,13-Pentazacyclohexadec-15-Yl]Palmitamide
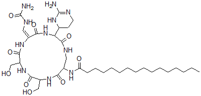
分子结构 CAS 登录号:74240-44-1, N-[(6E)-3-(2-氨基-3,4,5,6-四氢嘧啶-4-基)-6-[(氨基甲酰氨基)亚甲基]-9,12-二(羟基甲基)-2,5,8,11,14-五氧代-1,4,7,10,13-五氮杂环十六烷-15-基]十六烷酰胺
分子式 C35H61N11O9
分子量 779.94
CAS 登录号 74240-44-1
分子行输入简码 SMILES C(C1C(NC(C(NC(/C(NC(C(NCC(C(N1)=O)NC(=O)CCCCCCCCCCCCCCC)=O)C2NC(=NCC2)N)=O)=C/NC(N)=O)=O)CO)=O)O
国际化学标识码 InChI 1S/C35H61N11O9/c1-2-3-4-5-6-7-8-9-10-11-12-13-14-15-27(49)41-23-18-39-33(54)28(22-16-17-38-34(36)45-22)46-30(51)24(19-40-35(37)55)42-31(52)25(20-47)44-32(53)26(21-48)43-29(23)50/h19,22-23,25-26,28,47-48H,2-18,20-21H2,1H3,(H,39,54)(H,41,49)(H,42,52)(H,43,50)(H,44,53)(H,46,51)(H3,36,38,45)(H3,37,40,55)/b24-19+
国际化学标识检索码 InChIKey BOUNXJOSVRWQIH-LYBHJNIJSA-N
物理化学性质
密度 1.424g/cm3 (计算值)
市场分析报告
请浏览N-[(6E)-3-(2-氨基-3,4,5,6-四氢嘧啶-4-基)-6-[(氨基甲酰氨基)亚甲基]-9,12-二(羟基甲基)-2,5,8,11,14-五氧代-1,4,7,10,13-五氮杂环十六烷-15-基]十六烷酰胺市场分析报告总目录
相关产品
(2S)-2,3-二羟基-N-[(2R,3S,4S...  (2S,3S,4S,5R,6R)-6-(5-氟-2...  2-乙酰基-N-[(1-乙基吡咯烷-2-基)甲基]...  2-[4-(4-氯苯基)-2-(苯基甲基氨基)-1...  2-[4-(4-氯苯基)-2-[(4-羟基苯基)甲...  2-[4-(4-氯苯基)-2-[(2-羟基苯基)甲...  2-[4-(4-氯苯基)-2-[(4-甲氧基苯基)...  2-[4-(4-氯苯基)-2-[(4-二甲基氨基苯...  (1R-(1alpha,7(2S*,3R*),7a...  (9Z)-环十七碳-9-烯-1-酮  (2S)-2-氨基-N-[(2S,3S)-2-氨基...  2-(吡啶-3-基亚甲基)丙二腈  (NE)-N-(1-苊-3-基亚丙基)羟胺  1'-(3-乙基氨基丙基)螺[2,3-二氢-1H-...  1-(2-二甲基氨基乙基)-3-苯基吡咯烷-2,5...