Online Database of Chemicals from Around the World

(2,2'-L-丝氨酸)-短杆菌肽S
[CAS# 75993-96-3]

供应商
CAS#: 75993-96-3
产品: (2,2'-L-丝氨酸)-短杆菌肽S
暂时没有厂家供应该产品。
基本信息
产品名称 (2,2'-L-丝氨酸)-短杆菌肽S
英文名 (2,2'-L-Serine)-Gramicidin S
别名 (Ser(2,2'))-Gs; Gramicidin S, 2-L-Serine-7-L-Serine-
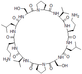
分子结构 CAS 登录号:75993-96-3, (2,2'-L-丝氨酸)-短杆菌肽S
分子式 C48H84N12O12
分子量 1021.26
CAS 登录号 75993-96-3
分子行输入简码 SMILES [C@@H]13N(C(=O)[C@@H](NC(=O)[C@@H](NC(=O)[C@@H](NC(=O)[C@@H](NC(=O)[C@H]2N(C(=O)[C@@H](NC(=O)[C@@H](NC(=O)[C@@H](NC(=O)[C@@H](NC1=O)C(C)C)CCCN)CC(C)C)CO)CCC2)C(C)C)CCCN)CC(C)C)CO)CCC3
国际化学标识码 InChI 1S/C48H84N12O12/c1-25(2)21-31-41(65)55-33(23-61)47(71)59-19-11-15-35(59)43(67)58-38(28(7)8)46(70)52-30(14-10-18-50)40(64)54-32(22-26(3)4)42(66)56-34(24-62)48(72)60-20-12-16-36(60)44(68)57-37(27(5)6)45(69)51-29(13-9-17-49)39(63)53-31/h25-38,61-62H,9-24,49-50H2,1-8H3,(H,51,69)(H,52,70)(H,53,63)(H,54,64)(H,55,65)(H,56,66)(H,57,68)(H,58,67)/t29-,30-,31-,32-,33-,34-,35-,36-,37-,38-/m0/s1
国际化学标识检索码 InChIKey HKFAPAJSPVVFOZ-YRYMBYOHSA-N
物理化学性质
密度 1.278g/cm3 (计算值)
沸点 1385.506°C at 760 mmHg (计算值)
闪点 791.725°C (计算值)
市场分析报告
请浏览(2,2'-L-丝氨酸)-短杆菌肽S市场分析报告总目录
相关产品
Xenoclauxin  2-溴-113-三甲氧基丙烷  4-[3-(4-甲氧基苯基)丙基]哌啶盐酸盐  4-[3-(3,4-二氯苯基)丙基]哌啶盐酸盐  4-(3-苯基丙基)哌啶盐酸盐  5H-萘并[2,3-a]咔唑-5,13(12H)-...  2-[1-氧代-4-[3-[2-(三氟甲基)吩噻嗪...  1,1,1-三氯-2-丙醇  9-Tert-Butyl-9,10-(Dewar ...  1-哌啶-1-基环己烷-1-甲腈氢溴酸盐  5-溴-2-氯苯甲酸乙酯  3-[(3R,6R,9S,16S,19R,22S,...  (8aS-(8aalpha,9Abeta,10Ab...  4-氨基-2-[[2-(2,4-二氨基丁酰基氨基)...  5-(3-二甲基氨基亚丙基)苯并呋喃并(2,3-c...