Online Database of Chemicals from Around the World

[1-(羟基-(2-羟基乙氧基)磷酰)氧基-3-[(E)-十八碳-9-烯酰基]氧基丙-2-基](E)-十八碳-9-烯酸酯
[CAS# 76391-83-8]

供应商
CAS#: 76391-83-8
产品: [1-(羟基-(2-羟基乙氧基)磷酰)氧基-3-[(E)-十八碳-9-烯酰基]氧基丙-2-基](E)-十八碳-9-烯酸酯
暂时没有厂家供应该产品。
基本信息
产品名称 [1-(羟基-(2-羟基乙氧基)磷酰)氧基-3-[(E)-十八碳-9-烯酰基]氧基丙-2-基](E)-十八碳-9-烯酸酯
英文名 [1-(Hydroxy-(2-Hydroxyethoxy)Phosphoryl)Oxy-3-[(E)-Octadec-9-Enoyl]Oxypropan-2-Yl] (E)-Octadec-9-Enoate
别名 [1-[(Hydroxy-(2-Hydroxyethoxy)Phosphoryl)Oxymethyl]-2-[(E)-Octadec-9-Enoyl]Oxy-Ethyl] (E)-Octadec-9-Enoate; (E)-Octadec-9-Enoic Acid [1-[(Hydroxy-(2-Hydroxyethoxy)Phosphoryl)Oxymethyl]-2-[(E)-1-Oxooctadec-9-Enoxy]Ethyl] Ester; (E)-Octadec-9-Enoic Acid [1-[(Hydroxy-(2-Hydroxyethoxy)Phosphoryl)Oxymethyl]-2-[(E)-Octadec-9-Enoyl]Oxy-Ethyl] Ester
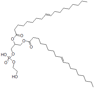
分子结构 CAS 登录号:76391-83-8, [1-(羟基-(2-羟基乙氧基)磷酰)氧基-3-[(E)-十八碳-9-烯酰基]氧基丙-2-基](E)-十八碳-9-烯酸酯
分子式 C41H77O9P
分子量 745.03
CAS 登录号 76391-83-8
分子行输入简码 SMILES C(O[P](OCCO)(=O)O)C(OC(=O)CCCCCCC\C=C\CCCCCCCC)COC(=O)CCCCCCC\C=C\CCCCCCCC
国际化学标识码 InChI 1S/C41H77O9P/c1-3-5-7-9-11-13-15-17-19-21-23-25-27-29-31-33-40(43)47-37-39(38-49-51(45,46)48-36-35-42)50-41(44)34-32-30-28-26-24-22-20-18-16-14-12-10-8-6-4-2/h17-20,39,42H,3-16,21-38H2,1-2H3,(H,45,46)/b19-17+,20-18+
国际化学标识检索码 InChIKey HMNZFMSWFCAGGW-XPWSMXQVSA-N
物理化学性质
密度 1.018g/cm3 (计算值)
沸点 763.281°C at 760 mmHg (计算值)
闪点 415.418°C (计算值)
市场分析报告
请浏览[1-(羟基-(2-羟基乙氧基)磷酰)氧基-3-[(E)-十八碳-9-烯酰基]氧基丙-2-基](E)-十八碳-9-烯酸酯市场分析报告总目录
相关产品
3',6'-二羟基-4',5'-二碘-6-异硫氰酸...  1,3,4,5,5,5a,5b,6-八氯八氢-1,...  1-(2-氯苯基)-3-(2-氟苯基)脲  3-己烯-2-酮  (3-吗啉-4-基-2-氧代丙基)-三苯基磷鎓氯化...  6,7-二羟基-3-(4-甲氧基苯基)色满-4-酮  3-(4-甲氧基苯基)色满-6,7-二醇  1,4-二[(2,6-二甲基苯基)氨基]蒽醌  2-[[(2S)-1-[[(2S)-1-羟基-3-...  (12-beta,22E,24E)-12-(乙酰氧...  7-溴-5-氯-8-羟基喹啉  3,5-二碘-4-异硫氰酸基苯磺酸  1-[8-(2,5-二氧代吡咯烷-1-基)-8-氧...  2,2,3-三氯丁烷-1,1-二醇  Dolo Visano