Online Database of Chemicals from Around the World

(5S,7E,9E,11Z)-6-[(2R)-2-氨基-3-(羧甲基氨基)-3-氧代丙基]硫基-5-羟基二十碳-7,9,11-三烯酸
[CAS# 77165-74-3]

供应商
CAS#: 77165-74-3
产品: (5S,7E,9E,11Z)-6-[(2R)-2-氨基-3-(羧甲基氨基)-3-氧代丙基]硫基-5-羟基二十碳-7,9,11-三烯酸
暂时没有厂家供应该产品。
基本信息
产品名称 (5S,7E,9E,11Z)-6-[(2R)-2-氨基-3-(羧甲基氨基)-3-氧代丙基]硫基-5-羟基二十碳-7,9,11-三烯酸
英文名 (5S,7E,9E,11Z)-6-[(2R)-2-Amino-3-(Carboxymethylamino)-3-Oxopropyl]Sulfanyl-5-Hydroxyicosa-7,9,11-Trienoic Acid
别名 (5S,7E,9E,11Z)-6-[(2R)-2-Amino-3-(Carboxymethylamino)-3-Oxo-Propyl]Sulfanyl-5-Hydroxy-Icosa-7,9,11-Trienoic Acid; (5S,7E,9E,11Z)-6-[[(2R)-2-Amino-3-(Carboxymethylamino)-3-Oxopropyl]Thio]-5-Hydroxyicosa-7,9,11-Trienoic Acid; 2-[[(2R)-2-Amino-3-[[(2E,4E,6Z)-1-[(1S)-1,5-Dihydroxy-5-Keto-Pentyl]Pentadeca-2,4,6-Trienyl]Thio]Propanoyl]Amino]Acetic Acid
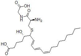
分子结构 CAS 登录号:77165-74-3, (5S,7E,9E,11Z)-6-[(2R)-2-氨基-3-(羧甲基氨基)-3-氧代丙基]硫基-5-羟基二十碳-7,9,11-三烯酸
分子式 C25H42N2O6S
分子量 498.68
CAS 登录号 77165-74-3
分子行输入简码 SMILES [C@H](C(NCC(=O)O)=O)(N)CSC(\C=C\C=C\C=C/CCCCCCCC)[C@H](CCCC(=O)O)O
国际化学标识码 InChI 1S/C25H42N2O6S/c1-2-3-4-5-6-7-8-9-10-11-12-13-16-22(21(28)15-14-17-23(29)30)34-19-20(26)25(33)27-18-24(31)32/h9-13,16,20-22,28H,2-8,14-15,17-19,26H2,1H3,(H,27,33)(H,29,30)(H,31,32)/b10-9-,12-11+,16-13+/t20-,21-,22?/m0/s1
国际化学标识检索码 InChIKey SBFPHBDUKAKWJL-UMPCWDDMSA-N
市场分析报告
请浏览(5S,7E,9E,11Z)-6-[(2R)-2-氨基-3-(羧甲基氨基)-3-氧代丙基]硫基-5-羟基二十碳-7,9,11-三烯酸市场分析报告总目录
相关产品
[(E)-5-[羟基-[3-[(2S,5S)-5-...  (E)-3-(4-羟基-3-甲基-11-氧代吡咯并...  N-乙基-1,2-苯并异噻唑-3-胺单盐酸盐  依替沙唑  鸡蛋花素  4(R)-(3-(6-甲氧基4-喹啉基)丙基)3(...  6-甲基-1-氧代-5-氧代-4H-吡嗪-1-鎓-...  N-[3-(甲氧基甲基)异喹啉-6-基]-4,4a...  (2S,5S,6R)-3-(2-氨基乙基硫基)-6...  (3S,6S,12R)-12-氨基-4-[(2S)...  (4-甲酰基-5-羟基-6-甲基吡啶-3-基)甲基...  乙氧基-(4-羟基苯基)次磷酸  苯乙酸1-苯基-1,2-乙二基酯  1,1'-氧基二(3,4-二甲苯)  二十碳-4,7,10,13-四炔酸