Online Database of Chemicals from Around the World

[(3S,4R,5R)-3,4,5,6-四羟基-2-氧代己基][(2R,3S,4S)-3,4,5-三羟基-1-氧代戊烷-2-基]氢磷酸酯
[CAS# 77193-03-4]

供应商
CAS#: 77193-03-4
产品: [(3S,4R,5R)-3,4,5,6-四羟基-2-氧代己基][(2R,3S,4S)-3,4,5-三羟基-1-氧代戊烷-2-基]氢磷酸酯
暂时没有厂家供应该产品。
基本信息
产品名称 [(3S,4R,5R)-3,4,5,6-四羟基-2-氧代己基][(2R,3S,4S)-3,4,5-三羟基-1-氧代戊烷-2-基]氢磷酸酯
英文名 [(3S,4R,5R)-3,4,5,6-Tetrahydroxy-2-Oxohexyl] [(2R,3S,4S)-3,4,5-Trihydroxy-1-Oxopentan-2-Yl] Hydrogen Phosphate
别名 [(1R,2S,3S)-1-Formyl-2,3,4-Trihydroxy-Butyl] [(3S,4R,5R)-3,4,5,6-Tetrahydroxy-2-Oxo-Hexyl] Hydrogen Phosphate; [(1R,2S,3S)-1-Formyl-2,3,4-Trihydroxybutyl] [(3S,4R,5R)-3,4,5,6-Tetrahydroxy-2-Oxohexyl] Hydrogen Phosphate; [(1R,2S,3S)-1-Formyl-2,3,4-Trihydroxy-Butyl] [(3S,4R,5R)-3,4,5,6-Tetrahydroxy-2-Keto-Hexyl] Hydrogen Phosphate
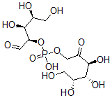
分子结构 CAS 登录号:77193-03-4, [(3S,4R,5R)-3,4,5,6-四羟基-2-氧代己基][(2R,3S,4S)-3,4,5-三羟基-1-氧代戊烷-2-基]氢磷酸酯
分子式 C11H21O13P
分子量 392.25
CAS 登录号 77193-03-4
分子行输入简码 SMILES [C@H](C=O)([C@@H](O)[C@@H](O)CO)O[P](=O)(O)OCC([C@@H](O)[C@H](O)[C@H](O)CO)=O
国际化学标识码 InChI 1S/C11H21O13P/c12-1-5(15)9(18)8(3-14)24-25(21,22)23-4-7(17)11(20)10(19)6(16)2-13/h3,5-6,8-13,15-16,18-20H,1-2,4H2,(H,21,22)/t5-,6+,8-,9-,10+,11+/m0/s1
国际化学标识检索码 InChIKey HELVVCIMDCGZJH-SPXMWDITSA-N
市场分析报告
请浏览[(3S,4R,5R)-3,4,5,6-四羟基-2-氧代己基][(2R,3S,4S)-3,4,5-三羟基-1-氧代戊烷-2-基]氢磷酸酯市场分析报告总目录
相关产品
Migraine-Kranit  N-[3,11,13,16,24,26-六甲基-2...  N-[3,11,13,16,24,26-六甲基-2...  1-氢过氧基庚烷-1-醇  (14-C)咖啡因  N-(2-苯基乙基)苯磺酰胺  4-苯基-1,3-二恶烷  2-苯基-1,3-二恶烷  3-乙基色满-2-酮  法罗定  (2-甲基丙烷-2-基)氧基环十二烷  2-乙基己基4-(2,4-二氯苯氧基)丁酸酯  2-(2,4-二氯苯硫基)乙酸  (Z)-7-[(1R,2R,3R,5S)-2-(5...  5-[2-氯-4-(三氟甲基)苯氧基]-2-硝基苯...