基本信息
| 产品名称 |
2-(二(2-氯乙基)氨基)-3-甲基-1,3,2-氧氮杂磷环戊烷2-氧化物 |
| 英文名 |
2-(Bis(2-chloroethyl)amino)-3-methyl-1,3,2-oxazaphospholidine 2-oxide |
| 别名 |
Bis(2-Chloroethyl)-(2-Keto-3-Methyl-1-Oxa-3-Aza-2$L^{5}-Phosphacyclopent-2-Yl)Amine; 1,3,2-Oxazaphospholidine, 2-(Bis(2-Chloroethyl)Amino)-3-Methyl-, 2-Oxide; 2-(Bis(2-Chloroethyl)Amino)-3-Methyl-1,3,2-Oxazaphospholidine 2-Oxide |
|
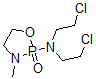
| 分子结构 |
 |
| 分子式 |
C7H15Cl2N2O2P |
| 分子量 |
261.09 |
| CAS 登录号 |
78219-85-9 |
| 分子行输入简码 SMILES |
C(N([P]1(N(CCO1)C)=O)CCCl)CCl |
| 国际化学标识码 InChI |
1S/C7H15Cl2N2O2P/c1-10-6-7-13-14(10,12)11(4-2-8)5-3-9/h2-7H2,1H3 |
| 国际化学标识检索码 InChIKey |
ZMTXGSOAIUYAHQ-UHFFFAOYSA-N |
|