Online Database of Chemicals from Around the World

5-氟尿苷二磷酸酯葡萄糖
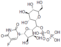
[CAS# 79965-09-6]

供应商
Achemica 瑞士 询价快递  
+41 (24) 466-2929
contact@achemica.com
化学品生产商(2010 年起)
基本信息
产品名称 5-氟尿苷二磷酸酯葡萄糖
英文名 5-Fluorouridine Diphosphate Glucose
别名 [[(2S,3S,4R,5R)-5-(5-Fluoro-2,4-Dioxo-Pyrimidin-1-Yl)-3,4-Dihydroxy-Tetrahydrofuran-2-Yl]-[(2S,3R,4S,5S,6R)-3,4,5-Trihydroxy-6-(Hydroxymethyl)Tetrahydropyran-2-Yl]Methyl] Phosphono Hydrogen Phosphate; [[(2S,3S,4R,5R)-5-(5-Fluoro-2,4-Dioxo-1-Pyrimidinyl)-3,4-Dihydroxy-2-Tetrahydrofuranyl]-[(2S,3R,4S,5S,6R)-3,4,5-Trihydroxy-6-(Hydroxymethyl)-2-Tetrahydropyranyl]Methyl] Phosphono Hydrogen Phosphate; [[(2S,3S,4R,5R)-5-(5-Fluoro-2,4-Diketo-Pyrimidin-1-Yl)-3,4-Dihydroxy-Tetrahydrofuran-2-Yl]-[(2S,3R,4S,5S,6R)-3,4,5-Trihydroxy-6-Methylol-Tetrahydropyran-2-Yl]Methyl] Phosphono Hydrogen Phosphate
分子结构 CAS 登录号:79965-09-6, 5-氟尿苷二磷酸酯葡萄糖
分子式 C15H23FN2O17P2
分子量 584.30
CAS 登录号 79965-09-6
分子行输入简码 SMILES [C@@H]2(O[C@@H](N1C(=O)NC(=O)C(=C1)F)[C@H](O)[C@@H]2O)C(O[P](O[P](=O)(O)O)(=O)O)[C@H]3O[C@@H]([C@@H](O)[C@H](O)[C@H]3O)CO
国际化学标识码 InChI 1S/C15H23FN2O17P2/c16-3-1-18(15(26)17-13(3)25)14-9(24)8(23)11(33-14)12(34-37(30,31)35-36(27,28)29)10-7(22)6(21)5(20)4(2-19)32-10/h1,4-12,14,19-24H,2H2,(H,30,31)(H,17,25,26)(H2,27,28,29)/t4-,5-,6+,7-,8+,9-,10+,11+,12?,14-/m1/s1
国际化学标识检索码 InChIKey UPRBTCOBJAWDAG-NXWUYVJFSA-N
物理化学性质
密度 2.066g/cm3 (计算值)
市场分析报告
请浏览5-氟尿苷二磷酸酯葡萄糖市场分析报告总目录
相关产品
4,4'-异亚丙基二(2-叔丁基苯酚)  1,2-二甲基-4-苯基-4-(丙酰氧基)哌啶  Isotheoline  4,4'-异亚丙基二[O-氯苯酚]  锇二(2,2'-联吡啶)氯化物  (3beta)-3-((6-脱氧-alpha-L-...  强啡肽(1-11)  强啡肽(1-12)  二(4-硝基苯氧基)-戊氧基-硫代-膦烷  3,7-二羟基-2-(1,4-苯并二恶烷-6-基)...  3,7-二羟基-2-((2,3-二苯基)-1,4-...  (3S)-3-二乙基氨基-3-乙烯基-四氢呋喃-2...  (-)-6,7,8,9-四氢-2,12-二甲氧基-...  (-)-6,7,8,9-四氢-6-((2-氯苯基)...  (+-)-6-苄基-7-甲基-5,6,8,9-四氢...